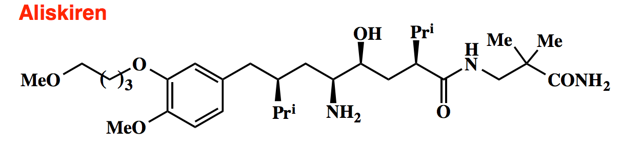
Aliskerin
First?
Synthetic compound having _______
Indicated for the treatment of? Either ____ or ___
___ absorbed, but ____ is low, high ___ decreases absorption
Half-life?
90% eliminated? Other part?
Adverse effects?

Thromboxanes and Aspirin?

COX-1 and COX-2 Structurally similar enzymes

Properties of selected Prostanoids

Other prostaglandin analogues in therapeutics?


Prostaglandin analogues in therapeutics?
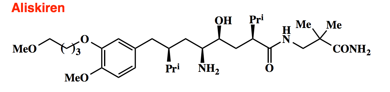
Aliskerin
First?
Synthetic compound having _______
Indicated for the treatment of? Either ____ or ___
___ absorbed, but ____ is low, high ___ decreases absorption
Half-life?
90% eliminated? Other part?
Adverse effects?

Thromboxanes and Aspirin?

COX-1 and COX-2 Structurally similar enzymes

Properties of selected Prostanoids

Other prostaglandin analogues in therapeutics?


Prostaglandin analogues in therapeutics?