Quant Flashcards

(62 cards)

1
Q

When I see …

… Algebra applied problems (e.g. rate-speed or …) …

A

I will:

Convert a/b/c to → a/1/b/c
Write from top down left to right down for each line”

Regarding spent time I wrote in different part of scratch paper haphazardly.

How well did you know this?
1
Not at all
2
3
4
5
Perfectly
2
Q

When I see …

… Geometrical shapes with words …

A

I will …

  • Simplify with little words for each segment
  • Create a Manhattan table for each given data
How well did you know this?
1
Not at all
2
3
4
5
Perfectly
3
Q

When I see …

… Arithmetic Percents …

A

I will …

  • Never use approximation till the end.
  • After reading wait at least 5 sec.
  • After spending more than 2 min, stop! You are 99% doing it at better chance in a wrong way.
  • Write down all numbers in fraction till the end.
  • Do not spent too much time for calculating fractions!
How well did you know this?
1
Not at all
2
3
4
5
Perfectly
4
Q

When I see …

… Arithmetic Sequence invoilving Median …

A

I will…

  • ALWAYS Substitude all possibilities
  • If you are (1) out of time AND (2) it is obvious with both answers you can reach out the answer, it’s C TRAP. guess on A or B and run.

Always substitud for Extrems and Middle

* x , …., …., …., …., …., ….
* …., …., …., x, …., …., ….
* …., …., …., …., …., …., x

How well did you know this?
1
Not at all
2
3
4
5
Perfectly
5
Q

When I see …

… Algebra Inequalities …

A

I will …

Create a Manhattan table for each given data

How well did you know this?
1
Not at all
2
3
4
5
Perfectly
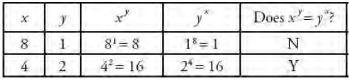
6
Q

When I see …

… is X …

A

I will …

First use test value or draw the graph

Stop the urge to use quadratic formula.

How well did you know this?
1
Not at all
2
3
4
5
Perfectly
7
Q

When I see …

… easily eliminate some answer choice …

A

I will …

If testing other choices reversely is easy, check the numbers.

How well did you know this?
1
Not at all
2
3
4
5
Perfectly
8
Q

When I see …

… simple short possible stems …

The sum of any 3 numbers in the list is 12.

A

I will …

write down underlined important keywords or phrases word-by-word

The sum of any 3 numbers in the list is 12.

Underline important keywords or phrases in the question stem and answer choices. This can help you stay focused and pay attention to the specific details of the problem.

How well did you know this?
1
Not at all
2
3
4
5
Perfectly
9
Q

When I see …

… sequence that changed the variables n to k or k to i …

A

I will …

  • remember you have to repeat the main pattern
  • Write down neat in separate lines

a 4= (a1)(a2)(a 3)
So,
→ a n= (t)
→ a n+1= (t) (t) = t2
→ a n+2= (t) (t) (t2) = t4

How well did you know this?
1
Not at all
2
3
4
5
Perfectly
10
Q

When I see …

… complex equations …

If x is a positive integer, what is the value of
√(x+24) − √x ?

A

I will …

Step back and watch the question holistically

How well did you know this?
1
Not at all
2
3
4
5
Perfectly
11
Q

When I see …

… |x| …

A

I will …

Consider it as length of the x or distance from 0

How well did you know this?
1
Not at all
2
3
4
5
Perfectly
12
Q

When I see …

… Sum of absolute values …

find the min value of |x-3|+|x+5|+|x-4|

A

I will …

test members

  • f (x=3)
  • f (x=-5)
  • f (x=4)
How well did you know this?
1
Not at all
2
3
4
5
Perfectly
13
Q

When I see …

… how many int solutions are in sum of inequalities …

|x-3|-|x+5|<7

A

I will …

immedietly draw the graph
Neat

How well did you know this?
1
Not at all
2
3
4
5
Perfectly
14
Q

When I see …

… x/y > 1 or ab=bc …

why?

A

I will …

never cancel variable

  1. x/y > 1 → we don’t know the sign of y. I do so if know the sign of y
  2. ab=bc → may b=0 → simplify b (a - c) = 0
How well did you know this?
1
Not at all
2
3
4
5
Perfectly
15
Q

When I see …

… inequality, can we multiply x2

Why?

A

I will …

Never

x2 ≥ 0
→ so x could be 0

Square domain is NOT positive. It’s NON-Negative

How well did you know this?
1
Not at all
2
3
4
5
Perfectly
16
Q

When I see …

… inequalities x < 3 → x2? …

why?

A

I will …

imagin what happen to range:

How well did you know this?
1
Not at all
2
3
4
5
Perfectly
17
Q

When I see …

… inequalities x < 3 → x3? …

A

I will …

not worry about odd powers
if x < 3 → x3 < 27

Always consider smallest and largest possible value

How well did you know this?
1
Not at all
2
3
4
5
Perfectly
18
Q

When I see …

… Inequalities involving defining the max/min …

-1≤x≤12 , -8≤y≤-3

A

I will …

  1. Make sure they are in the same direction
  2. Then:

  • You can ALWAYS ADD ineqs BLINDLY → (as long as Sign are same)
  • Subtraction, Multiplication, Divide → take care

How well did you know this?
1
Not at all
2
3
4
5
Perfectly
19
Q

When I see …

… any inequality in DS …

A

I will …

Implement the thee GOLDEN RULES :

  1. Make right side 0
  2. Simplify / Factorize left as a product or division of values
  3. Always maintain the square (or even) terms (e.g. x3 ≤ x2→ (x3 - x2) ≤ 0 → x2 (x-1) ≤ 0 → x ≤ 1 and x≠0

The key to solving any hard inequality questions is “How you spend time on the question stem.
Spend time and breakdown the QUESTION STEM

How well did you know this?
1
Not at all
2
3
4
5
Perfectly
20
Q

Remember these to your advantage:

  • √25
  • √x2
  • ab=bc
  • What is the sign of √x2
A
  • 5
  • |x|
  • b ( a - c )=0
  • ≥ 0 (non-negative)
How well did you know this?
1
Not at all
2
3
4
5
Perfectly
21
Q

When I see …

… |a+b|< |a| + |b| …

why?

A

I will …

Consider it as ab < 0

Here is the reason:

  • a+ , b+ →|a+b| = |a| + |b|
  • a- , b- →|a+b| = |a| + |b|
  • a+ , b- →|a+b| < |a| + |b|
  • a- , b+ →|a+b| < |a| + |b|
How well did you know this?
1
Not at all
2
3
4
5
Perfectly
22
Q

When I see …

… Absolute value equation …

A

I will …

Investigate that that which classifications it belongs:

(A) type 1:
|something| = something
e.g. |x+1| = 4x - 3

  1. solve it (x=2/5 , x=4/3)
  2. cross check with the main equation (x=2/5✘ , x=4/3 ✔︎)

(B) type 2:
|something| < (or >) something
make it to general form:

  • |eq|< const → -const < eq < +const
    or
  • |eq|>const → eq<-const or eq > +const

(C) type 3 & 4:
|something1| = |something2|
or
|something1| < (or / >) |something2|

  • square both sides and remove | |
    ❖ because |x|=√x2

(D) Miscellanious:
not 1,2,3, or 4
e.g: |a+b|< |a| + |b|

  • analyse based on signs
    or
  • plug-in values (-3/2 & -1 & -1/2 & 0 & 1/2 & 1 & 3/2)

Whenever you remove |-| check the final result

How well did you know this?
1
Not at all
2
3
4
5
Perfectly
23
Q

When I see …

… x2

A

I will …

x2 is not positive, it’s non-negative

Consider 0

How well did you know this?
1
Not at all
2
3
4
5
Perfectly
24
Q

When I see …

… long question stem …

Especially in word problems

A

I will …

Step back and read the question stem in parts

NEVER EVER SOLVE WITHOUT CHART

How well did you know this?
1
Not at all
2
3
4
5
Perfectly
25
# When I see ... ... triangle in triangle ...
I will ... understand they want to testing similarity | **read this example** ## Footnote Review similariry
26
# When I see ... ... any rate problem ...
I will ... 1. Write any rates **especially when they are unusual rates** (med cunsumprion per day during a 2 days trip) 2. write down the table ## Footnote 2 days : <4 /over 5>
27
# When I see ... ... Round-trip problem ...
I will ... In a round-trip problem when only the total time traveled is provided, consider letting the time to a destination equal some variable t and the time back equal (total trip time - t)
28
# When I see ... ... variables in answer choices ...
I will ... 1. Think of the lines of plugging in that is testing values. 2. if I have fractions **Try to use int values** by **plugging** in a common multiple of the denominators. 3. Plug in **more than once if required** 4. **Analyze** the answer choices and try to figure out why the remaining four answer choices are incorrect. 5. if i have percentages, **plug in 100**
29
# When I see ... ... definite numbers in answer choices ...
I will ... 1. backsolving 2. start from **C** 3. decide whether go up or doown
30
# When I see ... ... is ç even? ...
I will ... Write down that ç could be 1,2,3,-1,-3 **or 1/3, 1/7 or ...**
31
# When I see ... ... questions dealing with factors, multiples, reminders, product, divisible, divided, ... in DS ...
I will ... * **Always** make a list * Make list of values based on the conditions of statements * When combining statements the list will come in handy as I can use the values in the list which **overlap** * Also try to find **more than 2 items in overlap list**
32
# When I see ... ... comparing fractions, decimals ... | Which one smaller or greater
I will ... Consider LCM ***even in numinators***
33
# When I see ... ... complex fraction simplification that needs high accuracy ...
I will ... * Try to find the multiplication relation between denominator and nominator. If I can not select other than select **OTHER THAN obvious** rounding ## Footnote **21/16 x 127/5 → 21/5 x 127/16 → 4.2 x almost 8 → 33.6**
34
# When I see ... ... consecutive intigers ...
I will ... consider numbers with ***1 difference***. Except the questions stem make a clear difference
35
A merchant purchased a jacket for $60 and then determined a selling price that equaled the purchase price of the jacket plus a markup that was 25 percent of the selling price. During a sale, the merchant discounted the selling price by 20 percent and sold the jacket. What was the merchant’s gross profit on this sale? A. $0 B. $3 C. $4 D. $12 E. $15
A merchant purchased a jacket for $60 and then determined **a selling price that equaled the purchase price of the jacket plus a markup that was 25 percent of the selling price**. During a sale, the merchant discounted the selling price by 20 percent and sold the jacket. What was the merchant’s gross profit on this sale? → selling price = 60 + 25% selling price → selling price = 80 → 80 * 0.8 = 64 → profit = $4 **Tip: Read carefully. Usually, markup is a percent of the purchase price, but in this problem, it is a percent of the selling price.**
36
# When I see ... ... inequalities like this that x is an int ... | 202 < 25x < 247
I will ... ... be cautious about boundries. Two times I mistakenly assumed for this equation the min is 200. Instead, it should be consider 225. Also the max is 225. | **Min ↑ and Max ↓**
37
# When I see ... ... the sales price is a proportional of cost ...
I will ... Assume the price is $x, since it could cross of in %profit
38
# When I see ... ... question dealing with a timeline problem ... | Ten years ago, scientists predicted that the animal Z ...
I will ... ... sketch a number line to help keep the details straight. ## Footnote Ten years ago, scientists predicted that the animal Z would become extinct in t years. What is the value of t ? (1) Animal Z became extinct 4 years ago. (2) If the scientists had extended their extinction prediction for animal Z by 3 years, their prediction would have been incorrect by 2 years.
39
# When I see ... ... x2y3z2ya is a perfect square ...
I will ... Asume the possibility of y by itself could be a perfect square ## Footnote If x, y, z, and a are integers greater than zero and x, y, and z are consecutive integers such that x < y < z and x2y3z2ya is a perfect square, what is the value of a? 1) z = 4 2) a2 < 9
40
# When I see ... ... what is the sum of the evently spaced numbers ... | sum of the even numbers between 199 and 401
I will ... Use mean x number of elements instead of over calculation of factoring 2 and so on .... ## Footnote After rearrangment, Mean is 300, and # elements is 101. So the answer is 101 x 300 = 30300
41
# When I see ... ... a weighted average problem ...
I will ... Use allegation method. | **The resulted ratio will use to calculate quantities** ## Footnote Caution: it could be used for problems involved **"per"**: percentage, km/h, $/lit , ...
42
# When I see ... ... mean=median ...
I will ... note than it is not necessary that the set is equally spaced: {1,2,3,4,5} → mean=3 and median=3 {1,2,4,5} → mean=3 and median=3 ## Footnote equaly spaced → mean=median mean=median ✗→ equaly spaced
43
# When I see ... ... inequality questions involving a range ...
I will ... Check both extremes | **Especially for DS** ## Footnote In a recent survey, twenty families reported their incomes for 2012. Was the range of reported incomes for these families greater than $60,000? 1) Thirteen families reported incomes were between $20,000 and $35,000 2) Seven families reported incomes were between $80,000 and $95,000 It is obvious that AD are out for C consider these two set: {20,20,20 ..... , 95,95,95} → Yes {35,35,35, ... , 80,80,80} → No So the answer is E
43
# When I see ... ... items that **not mutually exclusive** ...
I will ... Use 2/3 venn diagram | مثلا یکی می‌تونه هم پیتزا بخوره هم همبرگر هم گاو نباشه
44
# When I see ... ... items that **mutually exclusive** ...
I will ... Table method
45
# When I see ... ... P(A and B) indipendent/dependent events ... | coins, dice, marbles ## Footnote with replacement or without it (the latter is exacty same as simultanieus events)
I will ... Consider whether the arrangement is given or not: * P(A and B) = P(A) x P(B) but if the arrangemtn doesn't given * P(A and B) = P(A) x P(B) x arrangement
46
# When I see ... ... the probibility of "A or B" or "A and B" ...
I will ... First understand whether they are mutually exclusive or not ## Footnote اگر P(A and B) = 0 باشه mutually exclusive هستن
47
# When I see ... ... ordering objects in line involving two person ...
I will .... 1. Draw a line instead of calculation 2. Consider both possible orders like these: * x1 → John → y1 → Mary → z1 And * x2 → Mary → y2 → John → z2
48
# When I see ... ... the linear growth problem ... ## Footnote at the end of third hour Bran's height was 1/4 less than his height at the end of the ninth hour.
I will ... * write down step by step for each interval * "at the end of third hour Bran's height was **1/4 less than his height at** the end of the ninth hour." interpretation is: **A+3k = 3/4(A+9k)** ## Footnote Note: ✘ A+3k = (A+9k) - 1/4
49
# When I see ... ... Sequence problem boundries involved (-1)n
I will ... Consider a vertical line in order to visualize the boundries
50
# When I see ... ... Game theory kind problem ....
I will ... try to solve it backward. ## Footnote Rita and Sam play the following game with n sticks on a table. Each must remove 1, 2, 3, 4 or 5 sticks at a time on alternate turns, and no stick that is removed is put back on the table. The one who removes the last stick (or sticks) from the table wins. If Rita goes first, which of the following is a value of n such that Sam can always win no matter how Rita plays? A. 7 B. 10 C. 11 D. 12 E. 16 Sam is me I've to force her to remain with 6 sticks Next Since she start the game, by having 7,8,9,10,11 sticks I can force her to remain with 6. So the answer is 12
51
# When I see ... ... Consecuative sequence counting involving multiple of **A** ... | A is a constant
I will ... 1. find the difference 2. by adding/subtracting a constant try to create a secuence multiple of **A** ## Footnote For example, to determine the number of terms in the sequence 13, 19, 25, 31, 37, 43, …, 301, we first observe that consecutive differences are equal to 6, so we subtract from each term a number chosen so that the first term becomes (1)(6) = 6. Thus, we subtract 7 from each term and obtain the sequence 6, 12, 18, 24, 30, 36, …, 294, which has the same number of terms as the original sequence. The number of terms in this new sequence is now easy to find—divide each term of this new sequence by 6, and it will be clear that the number of terms is 49.
52
# When I see ... ... coordinate questions involving slope ... | Especially in data sufficiency
I will ... In order to prevent loosing data, use variable method instead of drawing graph.
53
# When I see ... ... Can X be ... in DS ...
I will ... Look all around the whole question stem and answer choices to get clues. ## Footnote Can the positive integer n be written as the sum of two different positive prime numbers? 1. n is greater than 3. 2. n is odd. I Didn't comprehend the question If I interpreted the question correctly I would understand that, in order to get an odd number, the only way is odd+even. Thus one of them should be 2.
54
# When I see ... ... Geometry volume, are, etc in DS ...
I will ... Assume they want to fool me to assume somthing that is not stated. | **use variables** ## Footnote If cubical blocks in a display are stacked one on top of the other on a flat surface, what is the volume of the stack of blocks in cubic centimeters? 1.The volume of the top block is 8 cubic centimeters. 2. The height of the stack of blocks is 10 centimeters. **Tip: Do not assume anything that is not explicitly stated in the problem. In this problem, it is tempting to assume that all of the blocks are identical, in which case there would be five blocks, each with height 2 cm to give the whole stack a height of 10 cm and a volume of 40 cubic centimeters. Under the assumption that all of the blocks are identical, the correct answer would be C.**
55
# When I see ... ... is x factor/divisor of y ...
I will ... Consider both: 1. For any positive integers x and y, y is a **factor/divisor** of x if and only if x/y is an integer. and 2. Furthermore, 1 < y < x.
56
# When I see ... ... ordering problem involving variables like the following ... | **especially “… which item COULD be true …”**
I will ... 1. Pay attention to answer choices’ order. 2. Consider test value. 3. **Do Not *insist*** just with test values. Consider solving inequalities.
57
# When I see ... ... Geometric sequence involving constant rate calculation ...
I will ... Stop the URGE to consider "r" as an integer **"r" could be non-integer** | **e.g. (2√3)5** ## Footnote S is a sequence in which each term after the first is equal to r times the previous term, where r is a nonzero constant. What is the value of r? (1) The second term of S is 6. (2) The sixth term of S is 96.
58
# When I see ... ... Data sufficiency involving a arithmetic progression ...
I will ... Notice Each of the following is necessary & sufficient for a sequence to be an AP: * *a**i* - *a**i-1* = Constant * If you pick any 3 consecutive terms, the middle one is the mean of the other two * For all i,j > k >= 1
59
... Data sufficiency involving an geometric progression ...
* (*a**i*) ÷ (*a**i-1*) = Constant * If you pick any 3 consecutive terms, the middle one is the geometric mean of the other two * For all i,j > k >= 1 :
60
# When I see ... ... The sum of an infinite AP can never be finite *except* ...
* *a**1* = 0 **&** * *d*=0
61
# When I see ... The sum of an infinite GP will be finite *if*
absolute value of r < 1 |r| < 1