Quant - 2 Flashcards

(85 cards)

1
Q

Arithmetic Sequence

əˈrɪθmətɪk

دنباله حسابی

A

An arithmetic sequence is a sequence in which the difference between every pair of consecutive terms is the same.

Example: 5, 10, 15, 20
20 = 5 + ( 4 - 1 ) x 5
20 = 20

How well did you know this?
1
Not at all
2
3
4
5
Perfectly
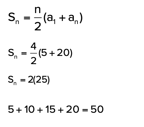
2
Q

Sum of the terms of an Arithmetic Sequence

A
How well did you know this?
1
Not at all
2
3
4
5
Perfectly
3
Q

Geometric Sequence

A

A geometric sequence (or geometric progression) is one in which the ratio between every pair of consecutive terms is the same.

Example: 5, 10, 20, 40
40 = 5 x 2( 4 - 1 )
40 = 40

How well did you know this?
1
Not at all
2
3
4
5
Perfectly
4
Q

The general sum of a n term GP with common ratio r is given by:

A

b1 x [ (1-rn ) ÷ (1-r) ]

How well did you know this?
1
Not at all
2
3
4
5
Perfectly
5
Q

Perpendicular bisector

A

عمود منصف

How well did you know this?
1
Not at all
2
3
4
5
Perfectly
6
Q

Steepness of a line

A

The larger the absolute value of the slope of a line, the steeper the line.

How well did you know this?
1
Not at all
2
3
4
5
Perfectly
7
Q

Let (x,y) be a point on the xy-plane.
The reflection of (x,y) over:
the line y = x

A

the point (y,x).

How well did you know this?
1
Not at all
2
3
4
5
Perfectly
8
Q

Let (x,y) be a point on the xy-plane.
The reflection of (x,y) over:
the line y = -x

A

the point (-y,-x).

How well did you know this?
1
Not at all
2
3
4
5
Perfectly
9
Q

Let (x,y) be a point on the xy-plane.
The reflection of (x,y) over:
the line y = b

A

the point (x,2b - y).

How well did you know this?
1
Not at all
2
3
4
5
Perfectly
10
Q

Let (x,y) be a point on the xy-plane.
The reflection of (x,y) over:
the line x = a

A

the point (2a - x,y).

How well did you know this?
1
Not at all
2
3
4
5
Perfectly
11
Q

Let (x,y) be a point on the xy-plane.
The reflection of (x,y) over:
the origin

A

the point (-y , -x).

How well did you know this?
1
Not at all
2
3
4
5
Perfectly
12
Q

What is the quadratic formula?

A
How well did you know this?
1
Not at all
2
3
4
5
Perfectly
13
Q

The formula of standard deviation:

A

when two sets have the same number of elements:
range ∝ sd

How well did you know this?
1
Not at all
2
3
4
5
Perfectly
14
Q

Surface area of Sphere:

A

4πr2

How well did you know this?
1
Not at all
2
3
4
5
Perfectly
15
Q

Sum of the first n integers

A
n: number of terms

[1 , 2, 3, 4, 5, 6]
n = 6
1 + 2 + 3 + 4 + 5 + 6 = 21

How well did you know this?
1
Not at all
2
3
4
5
Perfectly
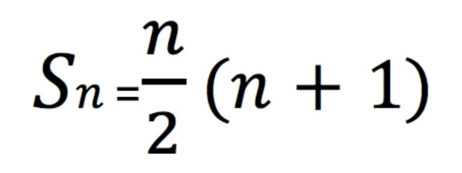
16
Q

Sum of the first n even integers

A

S = n x (n + 1)

n: number of terms

[2 , 4, 6, 8, 10]
n = 5
2 + 4 + 6 + 8 + 10 = 25

How well did you know this?
1
Not at all
2
3
4
5
Perfectly
17
Q

Sum of the first n odd integers

A

S = n2

n: number of terms

[1, 3, 5, 7]
n = 4
1 + 3 + 5 + 7 = 16

How well did you know this?
1
Not at all
2
3
4
5
Perfectly
18
Q

How many factors does exist in square of any prime number?

A

3
52 : [1 , 5 , 25]

How well did you know this?
1
Not at all
2
3
4
5
Perfectly
19
Q

Factor the given quadratic.

7 x2 + x - 66 = 0

A

Factoring the above quadratic may seem a bit daunting; however, we will use the same quadratics rules we normally follow when factoring a quadratic, with one small wrinkle.
Since we have a coefficient greater than 1 in front of x2, we can find 2 numbers that multiply to -66 and also two numbers that sum to 1 WHEN ONE OF THOSE NUMBERS IS MULTIPLIED BY 7.
We know this because the 7x2 term will break down to x and 7x.
he factors of -66 are:

-66 and 1 or -1 and 66

-33 and 2 or -2 and 33

-22 and 3 or -3 and 22

-11 and 6 or -6 and 11

Since the product of -3 and 7 is -21 and since the sum of -21 and 22 is 1, we can use the terms -3 and 22 for our factored quadratics.

So, we have:

Since the product of -3 and 7 is -21 and since the sum of -21 and 22 is 1, we can use the terms -3 and 22 for our factored quadratics.

So, we have:

7 x2 + x − 66 = 0 ⇒ (7x + 22) (x − 3) = 0
⇒ x = -22 or x = 3

How well did you know this?
1
Not at all
2
3
4
5
Perfectly
20
Q

Dividend, divisor, quotient, and remainder are related via the formula …

A
How well did you know this?
1
Not at all
2
3
4
5
Perfectly
21
Q

The product of n consecutive integers will always be devisible by …

A
How well did you know this?
1
Not at all
2
3
4
5
Perfectly
22
Q

Data sufficiency

If point A, which is located at (x, 6), is on a circle in the xy-plane, what is the value of x?

1) The center of the circle is at the origin.

2) The circle has an area of 100π.

A

E!

How well did you know this?
1
Not at all
2
3
4
5
Perfectly
23
Q

A train traveled from Town X to Town Y, covering twice as much distance in the second part of the trip as in the first part. If the average speed of the train during the second part of the trip was twice its average speed during the first part, which of the following is equal to the ratio of the train’s average speed for the entire journey to the train’s average speed during the second half of the trip.

  1. 1/2
  2. 1/4
  3. 1/3
  4. 2/3
  5. 3/4
A
How well did you know this?
1
Not at all
2
3
4
5
Perfectly
24
Q

Data sufficiency

5, 9, 11, 11, 13, 17, 17, x, y
What is the median of the list above?
1. x < 11
2. y = 11

A

We need to determine the value of the median.
Since there is an odd number of terms in this list, we know that the median is the middle number of the list when the terms are written in numerical order.

Statement One Alone:

⇒ x < 11

Statement one may appear to provide insufficient information. However, we can evaluate two scenarios and determine an interval for the possible values of the median.

The maximum possible value of the median can be determined if we assume the greatest possible values for the unknown terms in the list.

  • In this case, x is a number slightly less than 11, and y is a number greater than 17.
    The numbers in ascending order are {5, 9, x, 11, 11, 13, 17, 17, y}, and the median is 11.

The minimum possible value of the median can be determined if we assume the smallest possible values for the unknown terms in the list.

  • In this case, both x and y are numbers much less than 5, and their order doesn’t matter.
    The numbers in ascending order are {x, y, 5, 9, 11, 11, 13, 17, 17}, and the median is 11.

Since the maximum and minimum possible values of the median are both equal to 11, the median must be 11.

Statement one alone is sufficient.

Eliminate answer choices B, C, and E.

Statement Two Alone:
⇒ y = 11
We can use the same approach as we used for the analysis of statement one.

The maximum possible value of the median can be determined if we assume the greatest possible value for x.

  • In this case, x is a number greater than 17.
    The numbers in ascending order are {5, 9, 11, 11, 11, 13, 17, 17, x}, and the median is 11.

The minimum possible value of the median can be determined if we assume the smallest possible value for x.

  • In this case, x is a number less than 5.
    The numbers in ascending order are {x, 5, 9, 11, 11, 11, 13, 17, 17}, and the median is 11.

Since the maximum and minimum possible values of the median are both equal to 11, the median must be 11.

Statement two alone is sufficient.

How well did you know this?
1
Not at all
2
3
4
5
Perfectly
25
# Data sufficiency If x > y > 0, is y = 5? 1) 3x + y = 21 2) x + 4y = 23
We are given that x is greater than y and that both x and y are positive. We need to determine whether y is equal to 5. Statement One Alone: ⇒ 3x + y = 21 First off, since we need to determine whether y = 5, we can use substitution to get the given inequality of x > y in terms of y. To do so, let’s isolate x in the equation 3x + y = 21. ⇒ 3x+y=21 ⇒ 3x= - y+21 ⇒ x=(21-y)/3 We can substitute (21-y)/3 for x in the inequality x > y from the given information: ⇒ (21-y)/3 > y ⇒ 21-y > 3y ⇒ y < 21/4 We see that 0 < y < 21/4 , but we cannot reach a conclusion about whether y = 5. Statement one alone is not sufficient to answer the question. We can eliminate answer choices A and D. Statement Two Alone: ⇒ x + 4y = 23 As we did in statement one, let’s isolate x: ⇒ x = 23 - 4y Next, we can substitute 23 - 4y for x in the inequality x > y from the given information: ⇒ 23 - 4y > y ⇒ y < 23/5 Since 0 < y < 23/5, we see that y cannot equal 5. Statement two alone is sufficient to answer the question.
26
If p, q, y and z are integers, and y(zy2) = 1, is y3z4 = pq? 1) p = 4 2) q = 4
Since y and z are integers, and y(zy2) =1 → y3z = 1, it must be that y and z are both 1 or are both –1. For example, 13 × 1 = 1, and (–1)3 × (–1) = 1. We must determine whether y x z = pq. Remember that p and q are integers. Statement One Alone: ⇒p = 4 From the stem, we know that y and z are both 1 or are both –1. Thus, y3z is either 1 or –1 depending on whether y is 1 or –1. Statement one tells us that p = 4. Since the stem tells us that both p and q are integers, pq cannot be 1 or –1, and thus y3z ≠ pq. Statement one alone is sufficient. Eliminate answer choices B, C, and E. Statement Two Alone: ⇒ q = 4 From the stem, we know that y and z are both 1 or are both –1. Thus, y3z is either 1 or –1 depending on whether y is either 1 or –1 depending on whether y is 1 or –1. Statement two tells us that q = 4. Since the stem tells us that both p and q are integers, pq cannot be 1 or –1, and thus y3z ≠ pq. Statement two alone is sufficient.
27
number of countable items
a) The number of countable items must be a non-negative integer. Note that zero is only a possibility if it is possible for the items not to exist at all—if the problem clearly assumes that the items exist, then the number of items must be positive. Examples: Number of people. Number of yachts. Number of books. b) Many non-countable quantities must be non-negative numbers, though not necessarily integers. Again, zero is only an option if the underlying object might not exist. If the problem clearly assumes the existence and typical definition of an object, then these quantities must be positive. Examples: The side of a triangle must have a positive length. (All geometric quantities shown in a diagram, such as lengths, areas, volumes, and angles, must be positive. The only exception is negative coordinates in a coordinate plane problem.) The weight of a shipment of products must be positive in any unit. The height of a person must be positive in any unit. c) Many other non-countable quantities are allowed to take on negative values. Examples: The profit of a company. The growth rate of a population. The change in the value of essentially any variable. We ran across these sorts of constraints in Problem Solving, but they are even more important and dangerous on Data Sufficiency. If these constraints are important in a Problem Solving problem, then in some cases you will be unable to solve the problem. That will alert you to the existence of the constraints, since every Problem Solving problem must be solvable. In contrast, you will get no such signal on a Data Sufficiency problem. After all, solvability is the very issue that Data Sufficiency tests! ## Footnote **Note that zero is only a possibility if it is possible for the items not to exist at all**
28
Standard number set for testing
29
Discrete number listing Integers (the classic case) Odd/even integers perfect squares Positive multiples of 5
Integers (the classic case): ... –3, –2 , –1 , 0, 1, 2, 3... Odd/even integers: ... –3, –1 , 1, 3... or ... –4, –2 , 0, 2, 4... Positive perfect squares: 1, 4, 9, 16, 25... Positive multiples of 5: 5, 10, 15, 20... Any set that is “integer-like,” with well-defined, separated values
30
Advanced Guessing Tactics in Data Sufficiency
1. **If you can't tell for certain whether the answer can be calculated in theory, keep going on the calculations all the way.** 2. Spot Identical Statements Certainty: Very High: Eliminate E 3. Spot Clear Sufficiency Certainty: Very High: Eliminate E 4. Spot One Statement Inside The Other Certainty: Very High 5. Spot One Statement Adding Nothing Certainty: High 6. Spot a C Trap Certainty: **Moderate**
31
Data suffuciency triggers:
* Even exponents: + / - root * Inequalities: *Multiplication or Division by Variable: Same sign / Flip sign* * Inequalities: *Variable raised to power: -2, -1.5, -1, -0.5, 0, 0.5, 1, 1.5, 2* * Absolute values: Expression + and - * Zero product: XY => X=0, Y=0 * Odd/Even: For each variable check Odd, Even * Positive/Negative: For each variable check pPositive, Negative * High/Low: * Reminder/Unit digit: Each set of input
32
How many integers from 0 to 50, inclusive, have a remainder of 1 when divided by 3 ? A. 15 B. 16 C. 17 D. 18 E. 19
1 also gives 1 remainder when divided by 3 You idiot!
33
How many odd numbers between 10 and 1,000 are the squares of integers?
Perfect Square: * 10 < X2 < 1000 * 16 < X2 < 312 = 961 * 4 < x < 31 * # of x: 31-4+1=28 Odd: * 28/2 = 14
34
If k = (n + 2)(n – 2), where n is an integer greater than 2, what is the value of k ? (1) k is the product of two primes. (2) k < 100
Let us begin with B (n-2) * (n+2) = n2 - 4 since k < 100 we have 96, 77, 60, 45, 32, 21, 12, 5 not sufficient for A; from the above list we have 7x11, 7x3 in addition to possible numbers >100; hence not sufficient A & B together we have 77, 21 not sufficient Therefore E
35
How does much a nickle cost?
$0.05
36
How much does a quarter cost?
$0.25
37
How much does a dime cost?
$0.10
38
One year in sec, min, hour
* 1 year = 3.2 x 107 sec * 1 year = 5.3 x 105 min * 1 year = 8,760 hrs
39
If | x | > 3, which of the following must be true?
* Since |x| > 3 represents the set of real numbers x such that the distance between the x and 0 on the real number line is greater than 3, the inequality |x| > 3 is equivalent to x < –3 or x > 3. Therefore, |x| > 3 does not imply that condition I must be true, since |x| > 3 is true and x > 3 is false for x = –4. * For condition II, note that x < –3 implies x2 > 9 and x > 3 implies x 2 > 9. Therefore, |x| > 3 implies that condition II must be true. * For condition III, note that |x – 1| > 2 is equivalent to x – 1 < –2 or x – 1 > 2, which in turn is equivalent to x < –1 or x > 3. Since x < –3 implies x < –1, it follows that x < –3 or x > 3 implies x < –1 or x > 3. Therefore, |x| > 3 implies that condition III must be true. It follows that only conditions II and III must be true. | **D**
40
If 175 billion French francs is equivalent to 35 billion United States dollars, which of the following expressions represents the number of United States dollars equivalent to f French francs? (A) f – 140 (B) 5 f (C)7 f ​(D) f over 5​ (E) ​f over 7
41
What is the circle equation?
The equation of a circle centered at the point (a, b) is (x – a)2 + (y - b)2 = r2, where r is the radius of the circle.
42
**Learn how to solve effectively:** During the four years that Mrs. Lopez owned her car, she found that her total car expenses were $18,000. Fuel and maintenance costs accounted for 1/3 of the total and depreciation accounted for 3/5 of the remainder. The cost of insurance was 3 times the cost of financing, and together these two costs accounted for 1/5 of the total. If the only other expenses were taxes and license fees, then the cost of financing was how much more or less than the cost of taxes and license fees (A) $1,500 more (B) $1,200 more (C) $100 less (D) $300 less (E) $1,500 less
Let’s go through the question applying the best practices in the same order as described above: 1. With so much convoluted wording in this question stem, you should recognize that proper interpretation is key and wording tricks will surely be present. The first thing you should notice is that it says **“3/5 of the remainder”** not the **“total”** in the 2nd line, so you will need to account for that in your calculations. Additionally, you should note that **there are many components** to this question, so you **better slow down and execute each part carefully**. 2. **The answer choices don’t provide too many hints**, but there a **few takeaways**: you will **not be able to backsolve** (they are asking for a difference) and it must be **easy to make computational mistakes with that difference, since 2 answers say “more” and three say “less”. Make sure you calculate the difference carefully**. 3. **For the approach**, I have already noted that **backsolving is not an option nor is number picking** because you must work with the given total of $18,000. This question will require an algebraic approach and setting up those equations and/or calculations properly will be key. 4. Carefully using all the provided information, let’s execute the math: ## Footnote The last step is to figure out the amount of taxes and licensing fees (let’s use T for that sum): So far, we have accounted for the portion of the $18,000 total made up of M, D, I and F M = $6000, D = $7200, and I + F = $3600. That is $16,800, which leaves $1200 for T. The question is asking for the difference between T and F, so you can see that F ($900) is $300 less than T ($1200). Correct answer is thus D. *Fifth. (and 6/7) There was no need to pivot in your approach at any point since you must just do the calculations carefully in this problem. It is very important that you re-read the question and you double check that no careless errors were made in the calculations to get there. People get this question wrong because there are so many steps and thus many opportunities to make calculation mistakes or interpretation mistakes.* * Note: all of the calculations in this problem can easily be done mentally, so if you are writing much down beyond the totals for each component in this problem, you should work on your calculation fluency.
43
A rectangular wooden dowel measures 4 inches by 1 inch by 1 inch. If the dowel is painted on all surfaces and then cut into 1/2 inch cubes, what fraction of the resulting cube faces are painted? (A) 1/3 (B) 3/8 (C) 7/16 (D) 1/2 (E) 9/16
Total Cubes = (4 inches × 2 cubes per inch) × (1 × 2) × (1 × 2) = 32 cubes Total Cube Faces = 32 cubes × 6 faces per cube = 192 faces total We now consider the faces that were painted on the front and back of the dowel, the top and bottom of the dowel, and the ends of the dowel. In the diagram above, we can see 16 faces on the front, 16 faces on the top, and 4 faces on the end shown. Of course, there are other sides: the back, the bottom, and the other end. Painted cube faces = (16 faces x 2) + (16 faces x 2) + (4 faces x 2) front & back top & down ends Notice that there is no shortcut to solving this kind of problem, so don't waste time looking for one—just draw the diagram and count. The fraction of faces that are painted = 72/192 = 24(3)/24(8) = 3/8. The correct answer is (B). Notice that there is no shortcut to solving this kind of problem, so don't waste time looking for one—just draw the diagram and count. ## Footnote Even if you can easily picture 3-D shapes and objects in your head, it is still better to draw a picture on your scrapboard. Wrong answer choices are often those you might get by losing track of your progress as you process the object in your mind.
44
# Simplify it:
45
# Simplify it:
46
# Simplify it:
47
# DS Trigger 1: Even Exponents:
Scenarios: 1. Negative root 2. Positive root **EXAMINE WITH** * **Even exponents: + / - root** | **Go to the end** ## Footnote Reason: Two solutions when I take the square root
48
# DS Trigger 2: Inequalities: _Multiplication_ or _Division by a Variable_
Scenarios: **EXAMINE WITH:** ***Same sign / Flip sign*** ## Footnote Reason: If don't know the sign of the variable, then two possible inequalities result: **one** with the flipped inequality sign and **next one** with the original sign.
49
# DS Trigger 3: Inequalities: _Variables Raised to Poweres_
Scenarios: For each variable: 1. greater than 1 2. between 0 and 1 3. between -1 and 0 4. less than -1 (and possibly) 5. equal to 1 6. equal to 0 7. equal to -1 (Some of the scenarios may be eliminated by the given conditions) **EXAMINE WITH:** ***-2, -1.5, -1, -0.5, 0, 0.5, 1, 1.5, 2*** ## Footnote Reason: Numbers raised to powers become larger or smaller according to complicated rules: * When raised on a power greater than 1, a fraction between 0 and 1 gets smaller, but a larger number gets larger. * Even exponents make negative numbers positive, but odd exponents keep negative numbers negative.
50
# DS Trigger 4: Absolute Values:
Scenarios: 1. Expression is negative 2. Expression is positive **EXAMINE WITH:** ***Expression + and -*** ## Footnote Reason: The expression within the absolute value bars could be positive or negative.
51
# DS Trigger 5: Zero Product
Scenarios: For each multiplied term: 1. Zero 2. non-zero ... as long as at least one of terms is zero **EXAMINE WITH:** ***Zero product: XY => X=0, Y=0*** ## Footnote Reason: The product will be *zero* when *any* of the multiplied terms are zero.
52
# DS Trigger 6: Odd/Even
Scenarios: For each variable: 1. Even 2. Odd There are a maximum of 2n scenarios, where *n* is the number of variables. **EXAMINE WITH:** ***Odd/Even: For each variable check Odd, Even*** ## Footnote Reason: Addition and multiplication rules allow for an output of a given parity (odd or even) to result from multiple scenarios.
53
# DS Trigger 7: Positive/Negative
Scenarios: **EXAMINE WITH:** ***For each variable check Positive, Negative*** ## Footnote Reason:
54
# DS Trigger 8: High/Low
Scenarios: 1. High 2. Low ## Footnote Example: gasoline costs between $3.50 and $4.00. A trip require 2~3 gallons of gasoline. * High cost = 4 x 3 = $12.00 * Low cost = 2 x 3.5 = $7.00 Reason: If an input variable can take on a range of values, then you should test the output **at the extremes range**.
55
# DS Trigger 9: Reminder/Units digit
Scenarios: * Each set of input **EXAMINE WITH:** ***Each set of input*** ## Footnote Many different numbers give you the same reminder when divided by some number.
56
What is a dividend, a divisor, and a quotient?
In the equation a ÷ b = c, the number a is called the dividend, b is called the divisor, and c is called the quotient. In 425 ÷ 25 = 17, 425 is the dividend, 25 is the divisor, and 17 is the quotient. Dividend ÷ Divisor = 425 ÷ 25 25 425 ## Footnote dividend: مقسوم divisor: مقسوم علیه، فاکتور quotient: خارج قسمت
57
What is the domain of the function f?
The set of all real numbers x for which f(x) is a real number ## Footnote مجموع مقادیر مجاز ورودی به یک تابع که منجر به تولید خروجی(برد) میشود
58
Mixture problems
* %1*amount*1 + %2*amount*2 = %*total* *amount**total* * *cost*1*amount*1 + *cost*2*amount*2 = *cost**total* *amount**total*
59
What is the percent decrease from 14 to 8?
60
What do you infere from this statement: x |y| > y2
* x > 0 * x > y
61
*5:3* when add or subtrac constants values to both numerator an denuminator of the fraction, and the ratio of those constans are same as the that of the main fraction, the ratio of final result doesn't change.
62
* → odd ÷ odd = odd * → y2 + 1 is odd * → y2 is even * y is even
63
* *Rational Numbers* * *Integers* * *Whole* * *Natural* * *Irrational*
64
# When I see ... ... When dealing with complex word problem in DS ...
I will ... * Translate the problem into an equation. * If the equation obtained is complex try to further break it down into a simpler DS problem * Do not overlook critical inferences/inputs from question stem. Question stems are potential tools to get a direction to solve the problems.
65
Sum of the roots in quadratic equation
66
Product of the roots in quadratic equation
67
If x and y are integers, is xy + 1 divisible by 3 ? (1) When x is divided by 3, the remainder is 1. (2) When y is divided by 9, the remainder is 8.
I can use plugin but it's time consuming Assume x=3Q+1 and y=9Q'+8 So xy+1 is R (x/3) * R (y/3) + R (1/3) = R (1 * **2** + 1) = 0
68
1/3
0.333
69
1/6
0.167
70
1/7
0.143
71
1/9
0.111
72
Is 143 is a prime number?
122 = 144 check with: 2,3,5,7,11 143÷11=13 ## Footnote راحت‌ترین راه برای محاسبه اینکه عددی اول هست یا نه اینه که نزدیک ترین توان ۲ بزرگتر رو پیدا کنیم بعد با همه عدد اولای قبلش تست کنیم
73
What are the rules of perfect squares factorization?
* They have odd numbers of factors * Prime squares have exactly 3 factors * All of them have odd numbers of odd factors and even number of even factors ##footnote 36 * odd: 1, 3, 9 * even: 2, 4, 6, 12, 18, 36 * total: (2+1)*(2+1)=9
74
Avg first n natural numbers
(n+1) / 2
75
Avg first n even numbers
(n+1)
76
Avg first odd numbers
n2
77
What is the median of this set? {4,4,1,3,3}
3 Median is the middle of **arranged set** {1,3,3,4,4} or {4,4,3,3,1}
78
What is the mode of {1,1,2,2,3,3}
no mode the frequency of mode has to be > than other elements
79
Normally distributed data
1. use bell curve 2. mean≈median≈mode 3. the data grouped fairly symmetrically about the mean 4. About two third of data are within 1 standard deviation of the mean 5. About 99% of data are within 3 standard deviation of the mean 6. Greater ther Standard Deviation, wider the curve 7. Remember: 2x34%, 2x14% and 2x2% around the Mean
80
Surface distance of a cube with length **"x"** between the lower left vertex on its front face and the upper right vertex on its back face
x √5
81
what is factor/divisor?
For any positive integers x and y, y is a **factor/divisor** of x if and only if x/y is an integer. Furthermore, 1 < y < x.
82
What is the smallest positive integer n for which n!/99 is an integer? A. 36 B. 39 C. 54 D. 78 E. 81
1. 99= (32)9 = 318. 2. The number of 3s in 54! is: * 54/3 = 18 * 54/9 = 6 * 54/27 = 3 * → 18+6+3 = 27 > 18 ✗ 3. The number of 3s in 39! is: * 39/3 = 13 * 39/9 = 4 * 39/27 = 1 * → 13+4+1 = 18 ✓ * → smallest positive integer n is 39
83
The general sum of a n term AP with common difference d is given by:
84
What is the classification of numbers
85