Quantile Regression Flashcards

(4 cards)

1
Q

What is one important feature of Quantiles with respect to weakly increasing transformations?

A
How well did you know this?
1
Not at all
2
3
4
5
Perfectly
2
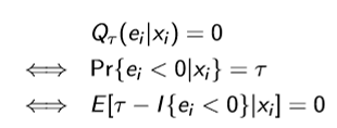
Q

Take a conditional quantile regression. How do you transform the Quantile restriction into a first moment restriction?

A
How well did you know this?
1
Not at all
2
3
4
5
Perfectly
3
Q

How would you transform a moment restriction for Quantile Regression into an unconditional moment restriction using method of moments?

A
How well did you know this?
1
Not at all
2
3
4
5
Perfectly
4
Q

What is the minimization problem to be solved for a Quantile Regression? Make sure to define the Check Function.

A
How well did you know this?
1
Not at all
2
3
4
5
Perfectly