Quantitative Flashcards

(14 cards)

1
Q

The angles in a triangle add up to ___

A

180 degrees

How well did you know this?
1
Not at all
2
3
4
5
Perfectly
2
Q

For any triangle with 2 sides of lengths c & d, as the angle between the two sides ___, the length of the third size will also ____

A

increase, increase

How well did you know this?
1
Not at all
2
3
4
5
Perfectly
3
Q

Equation for circumfrence of circle

A

C=2pir=pid

How well did you know this?
1
Not at all
2
3
4
5
Perfectly
4
Q

Area rectangle?

A

l * w

How well did you know this?
1
Not at all
2
3
4
5
Perfectly
5
Q

Surface area cyllinder?

A
How well did you know this?
1
Not at all
2
3
4
5
Perfectly
6
Q

multiplying percent trick?

A

turn into decimal, then move decimal left of original number

How well did you know this?
1
Not at all
2
3
4
5
Perfectly
7
Q

The standard deviation is the measure of the _____

A

spread of the numbers about the mean of the numbers.

How well did you know this?
1
Not at all
2
3
4
5
Perfectly
8
Q

Absolute value of -3?

A
How well did you know this?
1
Not at all
2
3
4
5
Perfectly
9
Q

Exponent rules:

What do you do with multiplication?

A

Add the exponents

How well did you know this?
1
Not at all
2
3
4
5
Perfectly
10
Q

Exponent rules:

Negative exponent means

A

exponent on the other side of a fraction

How well did you know this?
1
Not at all
2
3
4
5
Perfectly
11
Q

Exponent rules:

With division,

A

subtract exponents

How well did you know this?
1
Not at all
2
3
4
5
Perfectly
12
Q

Exponent rules:

Any number to the power of 0 is

A

1!

How well did you know this?
1
Not at all
2
3
4
5
Perfectly
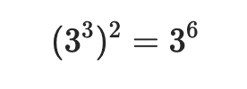
13
Q

Exponent rules

When a # with an exponent is raised to another exponent,

A

multiply the exponents

How well did you know this?
1
Not at all
2
3
4
5
Perfectly
14
Q
A
How well did you know this?
1
Not at all
2
3
4
5
Perfectly