Quantitative methods Flashcards

(60 cards)

1
Q

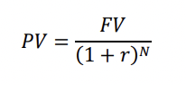
Present Value (PV) of a single cash flow (from a FV)

A
How well did you know this?
1
Not at all
2
3
4
5
Perfectly
2
Q

Present Value (PV) of Perpetuity

A

Perpetuity = forever

How well did you know this?
1
Not at all
2
3
4
5
Perfectly
3
Q

Future Value (FV) with continuous
compounding

A

Kan även använda

How well did you know this?
1
Not at all
2
3
4
5
Perfectly
4
Q

Effective Annual Rate (EAR)

A

Gör om till årlig (ie, om det är månadsvis är coumpounding perioids 12)

How well did you know this?
1
Not at all
2
3
4
5
Perfectly
5
Q

Arithmetic Mean

A
How well did you know this?
1
Not at all
2
3
4
5
Perfectly
6
Q

Median

A
How well did you know this?
1
Not at all
2
3
4
5
Perfectly
7
Q

WEIGHTED Average Mean

A

W= vikten, ie om portföljen har 70% av en viss aktie så har den viktningen 0,7

How well did you know this?
1
Not at all
2
3
4
5
Perfectly
8
Q

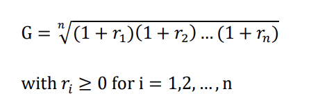
Geometric Mean

A
How well did you know this?
1
Not at all
2
3
4
5
Perfectly
9
Q

Harmonic Mean

A
How well did you know this?
1
Not at all
2
3
4
5
Perfectly
10
Q

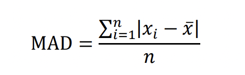
Mean Absolute Deviation

A
How well did you know this?
1
Not at all
2
3
4
5
Perfectly
11
Q

Population Variance

A
How well did you know this?
1
Not at all
2
3
4
5
Perfectly
12
Q

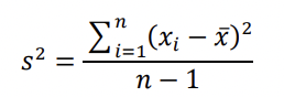
Sample Variance

A
How well did you know this?
1
Not at all
2
3
4
5
Perfectly
13
Q

Sample Target Semi-Deviation

A

Roten ut pga deviation och inte variance.

The “N” in this calculation is the count of these periods those where the return is less than the target. It does not include periods where the return meets or exceeds the target.

How well did you know this?
1
Not at all
2
3
4
5
Perfectly
14
Q

Coefficient of Variation

A

It’s commonly used in finance to evaluate the risk per unit of return of an investment.

How well did you know this?
1
Not at all
2
3
4
5
Perfectly
15
Q

Skewness (inte formula utan vilken order mean-median-mode går beroende på vilket håll den är skewed åt)

A
How well did you know this?
1
Not at all
2
3
4
5
Perfectly
16
Q

Probability Stated as Odds (probability omformulerat till odds)

A
How well did you know this?
1
Not at all
2
3
4
5
Perfectly
17
Q

Probability of A or B- P(A or B)

A

In finance, the “Probability of A or B” formula is used to calculate the likelihood of at least one of two events occurring, essential for risk analysis and decision-making.

How well did you know this?
1
Not at all
2
3
4
5
Perfectly
18
Q

Joint Probability of Two Events

A
How well did you know this?
1
Not at all
2
3
4
5
Perfectly
19
Q

Joint Probability of any number of
independent events

A

The Joint Probability formula for any number of independent events is used when you want to determine the likelihood of multiple independent events occurring simultaneously. In finance, this is particularly relevant for scenarios where the outcome of one event does not influence the outcome of another.

How well did you know this?
1
Not at all
2
3
4
5
Perfectly
20
Q

Total Probability Rule

A

Formula= P(A)=P(A∣B1)P(B1)+P(A∣B2)P(B2)+…+P(A∣Bn) P(Bn)

The Total Probability Rule is used in probability theory and finance when you need to calculate the probability of an event based on several distinct scenarios or conditions. This rule is particularly useful when you have a complex probability problem that can be broken down into simpler, mutually exclusive parts.

How well did you know this?
1
Not at all
2
3
4
5
Perfectly
21
Q

Expected Value of a Random Variable

A

In finance, the expected return on an investment is calculated by multiplying each possible return by its likelihood of occurring and then adding up these values to determine the average outcome over time.

How well did you know this?
1
Not at all
2
3
4
5
Perfectly
22
Q

Variance of a Random Variable

A
How well did you know this?
1
Not at all
2
3
4
5
Perfectly
23
Q

Portfolio Expected Return

A

In practice, you multiply the expected return of each asset by the proportion of the portfolio that asset represents, and then sum all these values to get the overall expected return of the portfolio.

How well did you know this?
1
Not at all
2
3
4
5
Perfectly
24
Q

Portfolio Variance (of two assets)

A
How well did you know this?
1
Not at all
2
3
4
5
Perfectly
25
Covariance
The expected value (or average) of the product of the deviations of each asset's return from its expected return
26
Correlation
27
Bayes’ Formula
Bayes' Theorem (or Bayes' Formula) is a fundamental result in probability theory that describes how to update the probabilities of hypotheses when given evidence.
28
Probabilities for a Random Variable given its Cumulative Distribution Function
29
Probability function for a Binomial Random Variable (Foundation for option pricing model)
In finance, the binomial probability function can be used to model events with two possible outcomes, such as the probability of a stock price going up (success) or down (failure) over a series of trading periods, or the likelihood of a borrower defaulting on a loan (failure) or making all payments on time (success). This model is also foundational for the binomial option pricing model, a method for calculating the value of options.
30
Expected Value and Variance of a Binomial Random Variable
E(X)=n⋅p Where: n is the number of trials. p is the probability of success on any given trial. Variance: Var(X)=n⋅p⋅(1−p) Where: n is the number of trials. p is the probability of success on any given trial. 1−p is the probability of failure on any given trial.
31
Continuous Uniform Distribution
In statistics, uniform distribution refers to a type of probability distribution in which all outcomes are equally likely
32
Standardizing a Random Normal Variable (Z test)
33
Safety-First Ratio
34
Continuously Compounded Return (Find R)
35
Degrees of Freedom
𝑑𝑓 = 𝑛𝑢𝑚𝑏𝑒𝑟 𝑜𝑓 𝑠𝑎𝑚𝑝𝑙𝑒 𝑜𝑏𝑠𝑒𝑟𝑣𝑎𝑡𝑖𝑜𝑛𝑠 − 1 = 𝑛 − 1 OR (n-2 if there are 2 observations, IE in regression)
36
Standard Error of the Sample Mean (σ known)
37
Standard Error of the Sample Mean (σ unknown)
38
Normally Distributed Population with Known Variance to find intervals (What test to use? Z or T?) (And do we use S or σ)
39
Normally Distributed Population, Large sample, Population Variance unknown. To find intervals (What test to use? Z or T?) (And do we use S or σ)
40
Normally Distributed Population, Small sample, Population Variance unknown.to find intervals (What test to use? (And do we use S or σ)
41
Power of a Test- both formula and meaning.
The power of a test, denoted as 1 - β (where β is the Type II error rate), represents the probability that the test correctly rejects the null hypothesis when it is false. In other words, power measures the ability of the test to detect a true effect or difference in the population. (IE: Hur vad är oddsen att vi felaktigt rejectar H0.)
42
Test of a Single Mean (hur signifikant är the mean?)
A test of a single mean, also known as a one-sample t-test, is a statistical hypothesis test used to determine whether the mean (average) of a sample is significantly different from a known or hypothesized population mean.
43
Confidence level in (explination in Type I and II Errors)
44
Test of the Difference in Means (between two samples, with equal Variances)
45
Test of the Difference in Means (between two samples, with unequal Variances)
46
Test of Mean of Differences (Genomsnittliga skillnaden)
47
Test of the differences in Variances (Skillnad mellan två olika assets/samples variances) F TEST
F-TEST
48
Test of a Correlation (significance of the correlation)
This formula is used when you want to test the significance of the correlation coefficient (r) between two continuous variables in a sample. It follows a t-distribution with degrees of freedom equal to n−2. You can use this formula to calculate the t-statistic and then compare it to critical values from the t-distribution table or calculate the p-value to make inferences about the significance of the correlation.
49
Regression Coefficient (formulan)
50
Assumptions of Simple Linear Regression
51
TSS (total sum of squares)
(total variance)
52
SSE (sum of the squares errors)
SSE quantifies how well the regression model fits the data. A smaller SSE indicates that the model does a better job of explaining the variation in the dependent variable, while a larger SSE suggests that there is more unexplained variance or error in the model.
53
RSS regression sum of squares
It represents the portion of the total variability in the dependent variable that is explained by a regression model or the independent variables in the model.
54
Coefficient of Determination
55
Standard error of the estimate (in regression, ie standard error of y hat)
56
F-Statistic (Fixa lite mer förklaring)
Fixa lite mer förklaring
57
Test of the Slope Coefficient (Fixa lite mer förklaring)
(Fixa lite mer förklaring)
58
Test of the Intercept Coefficient
59
Prediction Interval
60