TVM: Interpreting Interest Rates (3)
TVM: Components of Interest Rates
Required (nominal) interest rate on a security=

TVM: Effective Annual Rates - Examples (3)
Stated Annual Rate is 12%

TVM: TVM - Example (2)

TVM: PV of a Perpetuity - Example
Preferred stock pays $8/year forever, with 10% rate of return. What is it’s present value?

TVM: FV of Single Sum
FV of $200 invested for 2 years at 10% interest rate

TVM: PV of a Single Sum - Example
PV of $200 in 2 years at 10% interest

TVM: PV of an Ordinary Annuity
PV of $200, received each year, for 3 years, at 10% interest rate

FV of an Ordinary Annuity
What is the value in three years of $200 to be received at the end of each year for three years when interest rate is 10%

TVM: PV of Annuity Due
PV of $200 received at the start of each year, for 3 years at 10%

TVM: FV of Annuity Due
FV of $200 received at beginning of each year for 3 years at 10% interest

TVM: FV of Uneven Cash Flows
PV of $300 received 1st year, $600 received 2nd year, and $200 received 3rd year at 10% interest

TVM: PV of Uneven Cash Flows
PV of $300 received 1st year, $600 received 2nd year, and $200 received 3rd year at 10% interest

TVM: Mortgage Example
PV= 100,000; FV = 0; CPT –>PMT = -599.55
N = 360 - 85 = 275 payments left CPT –> PV = 89,488
DCF: NPV
Net present value: the sum of present values of a series of cash flows

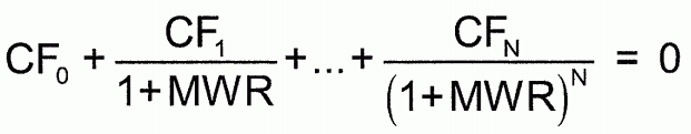
DCF: IRR

DCF: Holding Period Return: Example

DCF: Time-Weighted Returns
Annual time-weighted returns are effective annual compound returns

DCF: Money-Weighted Returns

DCF: BDY, HPY, EAY, MMY

DCF: Yield Example

DCF: BEY
Bond Equivalent Yield is 2x the effective semi-annual yield

Statistics: Basic Terms (7)
Statistics: Measurement Scales (NOIR) (4)