Quantitative reasoning Flashcards

(21 cards)

1
Q

1/6

A

16.6%

How well did you know this?
1
Not at all
2
3
4
5
Perfectly
2
Q

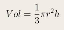
2/6

A

33.3%

How well did you know this?
1
Not at all
2
3
4
5
Perfectly
2
Q

4/6

A

66.6%

How well did you know this?
1
Not at all
2
3
4
5
Perfectly
3
Q

5/6

A

83.3%

How well did you know this?
1
Not at all
2
3
4
5
Perfectly
4
Q

1/8

A

12.5%

How well did you know this?
1
Not at all
2
3
4
5
Perfectly
5
Q

3/8

A

37.5%

How well did you know this?
1
Not at all
2
3
4
5
Perfectly
6
Q

5/8

A

62.5%

How well did you know this?
1
Not at all
2
3
4
5
Perfectly
7
Q

1/20

A

5%

How well did you know this?
1
Not at all
2
3
4
5
Perfectly
7
Q

7/8

A

87.5%

How well did you know this?
1
Not at all
2
3
4
5
Perfectly
8
Q

area circle 2d

A
How well did you know this?
1
Not at all
2
3
4
5
Perfectly
9
Q

1/25

A

4%

How well did you know this?
1
Not at all
2
3
4
5
Perfectly
10
Q

area 2d rectangle

A

length x height

How well did you know this?
1
Not at all
2
3
4
5
Perfectly
11
Q

areas 2d triangle

A

bh/2

How well did you know this?
1
Not at all
2
3
4
5
Perfectly
12
Q

surface area sphere (3d)

A
How well did you know this?
1
Not at all
2
3
4
5
Perfectly
13
Q

volume sphere 3d

A
How well did you know this?
1
Not at all
2
3
4
5
Perfectly
14
Q

cylinder 3d surface area

15
Q

3d cylinder volume

16
Q

3d cone surface area

17
Q

rectangular prism volume

17
Q

3d cone volume

17
Q

rectangular prism surface area