quiz 1 (x-ray) Flashcards

(51 cards)

1
Q

what does higher kVp do to x ray beam quality

why

A

it reduces contrast

because at higher kVp, tissues penetrate more uniformly

How well did you know this?
1
Not at all
2
3
4
5
Perfectly
2
Q

what type of radiation is seen here

A

Brem

How well did you know this?
1
Not at all
2
3
4
5
Perfectly
3
Q

what is essentially happening with bremstralung radiation (3)

A

electron shot towards nucleus of Mol target

e is slowed down

that kinetic energy is converted into an x ray

How well did you know this?
1
Not at all
2
3
4
5
Perfectly
4
Q

what type of radiation is happening here

A

characteristic radiation

How well did you know this?
1
Not at all
2
3
4
5
Perfectly
5
Q

what type of radiation is happening here

A

characteristic

How well did you know this?
1
Not at all
2
3
4
5
Perfectly
6
Q

what is essentially happening with characteristic radiation (3 steps)

A

an electron hits an electron in the k shell of an atom

that ring becomes vacant and another electron has to fill it

the energy from going from an outer shell to an inner shell is converted into an electron

How well did you know this?
1
Not at all
2
3
4
5
Perfectly
7
Q

what are the shell names from outer to inner

what has more energy here in terms of ring

A

M, L, K

K has the most energy, so when you go from low low to high, higher energy x ray (from M to K, L to K is less severe)

How well did you know this?
1
Not at all
2
3
4
5
Perfectly
8
Q

what is the effect on atomic number on x ray interactions

what is an anatomical way to understand this

A

higher Z = more likely to be absorbed

bone has a higher Z (ca) than air (H), so it shows up WHITER, aka more is absorbed

How well did you know this?
1
Not at all
2
3
4
5
Perfectly
9
Q

do you harden or soften x rays by raising kVp

what does this do to penetration

what does this do to pt dose

A

you harden them

increases it (they go THROUGH harder, and miss the pt)

decreases pt dose

How well did you know this?
1
Not at all
2
3
4
5
Perfectly
10
Q

what does increased mAs do to the image quality

A

decreases SNR (signal to noise ratio and makes things less grainy)

How well did you know this?
1
Not at all
2
3
4
5
Perfectly
11
Q

what is focal spot

what does decreasing it do

A

area on the anode target that actually produces the x rays when hit

reduces penumbra

How well did you know this?
1
Not at all
2
3
4
5
Perfectly
12
Q

what do grids to do image quality and why

what do they do to patient dose and why

A

they improve it by getting rid of scatter by their design to only let primary rays through

they increase it because you have to increase the mAs to compensate for the photons lost to the grid to get a useful diagnostic image

How well did you know this?
1
Not at all
2
3
4
5
Perfectly
13
Q

which is better or worse for the body (harder or softer), and which has a higher kVp

A

bottom is better, more hard

it probably has a higher kVp

How well did you know this?
1
Not at all
2
3
4
5
Perfectly
14
Q

if the ___ is the same, the exposure is the same

A

mAs

How well did you know this?
1
Not at all
2
3
4
5
Perfectly
15
Q

where are the 2 places beams get filtered

A

inherently before even leaving the house

added with a piece of Al between the window and collimator

How well did you know this?
1
Not at all
2
3
4
5
Perfectly
16
Q

what does a collimator do

what does this do to patient dose

what does this do to image quality and why

A

restricts where the beam is to only clinical interest via shutters

decreases it

improves it by reducing scatter

How well did you know this?
1
Not at all
2
3
4
5
Perfectly
17
Q

high energy photons get _____ to…

low energy photons get ____ or ___-

A

transmitted, to form the image

absorbed or scattered

How well did you know this?
1
Not at all
2
3
4
5
Perfectly
18
Q

what do filters essentially do to the image quality and why

A

they decrease contrast because you are beam hardening and attenuating soft rays that would have been absorbed by the patient (which soft beams are attenuated much much more contrastingly than hard beams, which attenuate similarly among structures)

How well did you know this?
1
Not at all
2
3
4
5
Perfectly
19
Q

hard beams, aka __ kVp, attenuate…

this means ___ contrast

A

high kVp, all the same…

low contrast (when hoes all the same bc theyre jacked up trying to get that hard mean become difficult to distinguish from each other)

How well did you know this?
1
Not at all
2
3
4
5
Perfectly
20
Q

what are compensation filters for

what part of the body are they associated with

A

the thinner parts, gotta harden those beams so they aren’t overexposed. have too much contrast compared to the thiner part of the body

How well did you know this?
1
Not at all
2
3
4
5
Perfectly
21
Q

is Rayleigh bad

what type of radiation is this considered and why

how do you reduce this

A

yes

it is when the atom is excited by an x ray and radiates energy, but does not ionize but instead emits a photon in a different direction than initially which scatters

crank up the voltage

22
Q

what do SID and. SOD do to image quality and patient dose (they do the same but WHY are they different)

what does OID do to image quality and patient dose

A

increase quality and decrease dose- SID bc of inverse square law and SOD bc beam spreading

decreases image quality with no effect on pt dose

23
Q

when you increase image quality, what 2 things are you reducing in terms of SID,SOD,OID

A

decreasing magnification and penumbra

24
Q

what is the photoelectric effect

what are the 3 steps

A

COMPLETE absorption of an X ray photon by an atom

photon hits an inner shell electron

that energy is absorbed by the electron, which gets ejected

an outer electron fills the vacancy and radiation is emitted

25
what type of radiation is used with only super high energies NOT for diagnostic purposes (1MeV) what does this do to the rest mass energy, and what does it produce
pair production doubles it and creates 2 directly opposed annihilation photons
26
when something has the photoelectric effect, how much of the photon reaches the detector
none
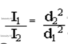
27
what is the equation for the inverse square law
28
Compton is ____ energy and PE is _____ energy
higher lower
29
what does ALARA stand for what does that mean
as low as reasonable achievable getting the best image for the lowest amount of radiation possible
30
does increasing SOD decrease penumbra
no
31
x ray part that: improves heat dissipation and gets hit with electrons
anode
32
x ray part that: is the source of electrons
cathode
33
x ray part that: travels from cathode to anode
electron beam
34
x ray part that: is emitted from the anode
an x ray photon beam
35
x ray part that: is where the electrons strike to produce x rays
target area
36
x ray part that: allows x rays to exit
tube window
37
x ray part that: captures the x ray images
image receptor
38
x ray part that: removes low energy x rays
filtration
39
x ray part that: narrows the x ray beam
collimator
40
what are 3 reasons why general radiography is awesome
quick cheap available hehe
41
what type of kVp do you use for mammography why
low you have low contrast tissue, so you must compensate for that by creating artificial contrast
42
does the photoelectric effect prefer higher or lower kVp
lower
43
do you want high or low kVp for chest X ray and why
high kVp, you want low contrast and HIGH PENETRATION so that you can actually see through all of the structures in the body
44
how does DEXA measure bone density
low energy photons: absorbed more by bone high energy photons: absorbed more by soft tissue compare and contrast
45
what uses real time x ray imaging and how high or low kVp/ mAs
fluoroscopy, stop motion LOW mA (pused), high kVp
46
what uses imaging for minimally invasive procedures
interventional radiography
47
48
what is penumbra what is umbra
blurred edges clearly defined
49
what is the half value layer the ____ the value, the better quality of x ray photons
the mm of Al it takes to attenuate the x ray beam to half of its original value greater
50
x rays are considered ______ radiation on the EM spectrum from visible light to gamma rays
ionizing light UV x rays gamma
51
what is the occupational dose per year what is the gen pop dose per year set by who? enforced by who?
50 mSv 1 mSv Nuclear regulatory committee (NRC) OSHA