Quiz 3 Flashcards

(8 cards)

1
Q

Telescoping series

A

interior terms of the sum cancel

Σ = lim (Sn) = L

Series converges to L

How well did you know this?
1
Not at all
2
3
4
5
Perfectly
2
Q
A
How well did you know this?
1
Not at all
2
3
4
5
Perfectly
3
Q

Divergence test

A
How well did you know this?
1
Not at all
2
3
4
5
Perfectly
4
Q
A

No! The divergence test can NOT be used to determine if a series converges.

How well did you know this?
1
Not at all
2
3
4
5
Perfectly
5
Q

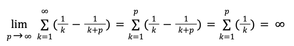
Does the harmonic series Σ1/k converge or diverge?

A

diverges

even though the terms of the series approach 0

How well did you know this?
1
Not at all
2
3
4
5
Perfectly
6
Q

P-series test

A

Converges: p > 1

Diverges: p ≤ 1

How well did you know this?
1
Not at all
2
3
4
5
Perfectly
7
Q

Comparison test

Let Σak and Σbk be series with positive terms.

A
  • bigger con, smaller also con
  • smaller div, bigger also div
How well did you know this?
1
Not at all
2
3
4
5
Perfectly
8
Q

Limit Comparison Tests

A
How well did you know this?
1
Not at all
2
3
4
5
Perfectly