Random Variable Flashcards

(30 cards)

1
Q

How do you find probability in random variable (both DRV and CRV)

A

In DRV, we find prob through Probability Mass Function : f(xₖ) = P(X=Xₖ) [for every x, we find probability]
In CRV, prob through Probability Mass Function : P(X=Xₖ) = 0 [Probability at point=0]
Therefore in CRV, we find prob through Probability density function(Probability given by Area under curve): f(x) is p.d.f iff ∫f(x) dx = 1 (from -∞ to ∞ integration limits)

How well did you know this?
1
Not at all
2
3
4
5
Perfectly
2
Q

Probability mass function (DRV)

A

Probability Mass Function: f(xₖ) = P(X=Xₖ) [for every x, we find probability]

How well did you know this?
1
Not at all
2
3
4
5
Perfectly
3
Q

Probability mass function (CRV)

A

Probability Mass Function : P(X=Xₖ) = 0 [Probability at point=0]

How well did you know this?
1
Not at all
2
3
4
5
Perfectly
4
Q

Probability Density Function (DRV)

A

NOT GIVEN

How well did you know this?
1
Not at all
2
3
4
5
Perfectly
5
Q

Probability Density Function (CRV)

A

Probability density function: Probability given by area under P.D.F
f(x) is valid P.D.F iff ∫f(x) dx = 1 (from -∞ to ∞ integration limits) {Area under curve}

How well did you know this?
1
Not at all
2
3
4
5
Perfectly
6
Q

Cumulative distribution function (DRV)

A
How well did you know this?
1
Not at all
2
3
4
5
Perfectly
7
Q

Cumulative distribution function (CRV)

A
How well did you know this?
1
Not at all
2
3
4
5
Perfectly
8
Q

Expectation of X (DRV and CRV)

A
How well did you know this?
1
Not at all
2
3
4
5
Perfectly
9
Q
A
How well did you know this?
1
Not at all
2
3
4
5
Perfectly
10
Q

Variance(X) (3formula) (also definitions) (Also notation)

A
How well did you know this?
1
Not at all
2
3
4
5
Perfectly
11
Q

Range of variance

A

Var(x)>=0

How well did you know this?
1
Not at all
2
3
4
5
Perfectly
12
Q

E(x²)

A
How well did you know this?
1
Not at all
2
3
4
5
Perfectly
13
Q

Difference between E(x²) and (E(x))²

A
How well did you know this?
1
Not at all
2
3
4
5
Perfectly
14
Q

Standard deviation (notation, formula, range)

A
How well did you know this?
1
Not at all
2
3
4
5
Perfectly
15
Q

When will be var(x) = 0

A

Var(x) = 0 only when x=constant=x̄ (here x is called invariant)

How well did you know this?
1
Not at all
2
3
4
5
Perfectly
16
Q

If x=x̄=constant then

17
Q

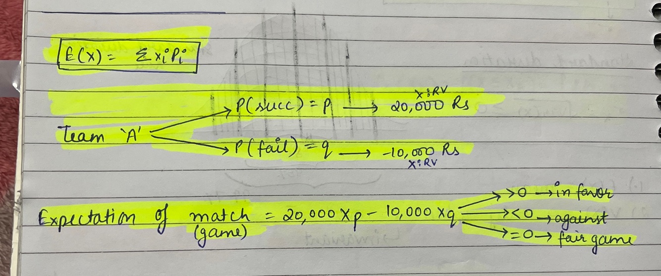
Importance of Expectation in game

18
Q

Importance of standard deviation in real life

19
Q

Property 1 of mean, variance and standard deviation

20
Q

Property 2 of mean, variance and standard deviation

21
Q

Property 3 of mean, variance and standard deviation

22
Q

Property 4 of mean, variance and standard deviation

23
Q

Property 5 of mean, variance and standard deviation

24
Q

Property 6 of mean, variance and standard deviation

25
Property 7 of mean, variance and standard deviation
26
Covariance(X,Y)
27
If X,Y are independent random variable then
28
1+2x+3x²+4x³+......... ?
(1-x)⁻² [(1-x) raise to the power -2 emphasise on negative]
29
Moment in expectation
E[Xʳ] pronounced as rth moment
30
rth moment formula