What is the stereochemistry outcome of using Na/NH3 on an alkyne?
Trans addition of 2 hydrogens across the double bond isolated at an alkene

What reagants are necessary to synthesize a ketone from a terminal alkyne?

What is the stereochemistry result of adding the following reagants to a terminal alkyne?

Results in a markovnikov addition.
(H2 goes to the least substituted Carbon, double bond O goes to the most substituted)
**If not terminal, will result in a mixture

What reagants are necessary to synthesize an aldehyde from a terminal alkyne? (anti-mark)

What reagants are used to form a TERMINAL alkyne from a vicinal or geminal dibromide?


What does an addition/eliminated reaction on a subsituted benzene require?
Leaving group to be ortho/para to the EWG
What is the result of adding the following reagants to a benzene with a suitable leaving group?

Formation of temporary benzyne transition state resulting in addition of NH2 to either side of triple bond.
When forming alkenes from vicinal dihalides using NAI or KI in acetone, what do we need to know about stereochemistry?
Wedges with wedges and dashes with dashes
(like E2)
trans-diaxial on cyclohexane
anti-coplanar on alkanes
What reagant is used to make a ketone from a carboxylic acid?


What reagant will allow you to form a ketone from a nitrile (R-C triple bond N)
R-Mg-Br
Grignard reagant
What reagant may be used to open an epoxide from the least substituted side?

Basic conditions are like SN2 (least substituted side)

What reagant would be good to use to build this ketone?

After the BuLi or PhLi step, add the R-X that you want to be part of the ketone.

What reagant must you add to this to get the R groups necessary to form an aldehyde or ketone?


What reagant will turn this into a dienophile? with 2 =O groups where the OH groups are?


Use of the acetylide ion with a primary or secondary halide results in what product and by what mechanism?

Because of the bulky halide group, reaction proceeds via the E2 mechanism. Results in the formation of a double bond after hydrogen is taken from acetylide ion and bromine leaves.

What is the result of the following?


What reagant allows you to substitute a hydroxyl group for a halogen on a benzene?

Use of the acetylide ion with a carbonyl group proceeds by what mechanism and yields what result?

The acetylide anion attacks the partially positive carbon.
Acidic water is then used to protonate the oxygen



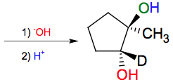
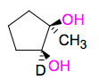
What is the stereochemistry outcome of adding the following reagant across the double bond of an alkene?

Formation of a syn-diol

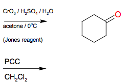
What two different reagant groups can be used to oxidize secondary alcohols (and yield the same results)?


What is the result o a Carboxylic Acid of adding 2 equivalent of R-Li followed by H30+ ?

The R group from R-Li is added to carboxylic acid


Also:
Boron reagant very selective towards carboxylic acids but wont reduce aldehydes or ketones.

Adding the following to a benzene results in what product?

