What is the formula for count rate? What happens as Keff gets closer to 1?
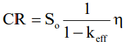
Count Rate is the Source Strength times Detector Efficency times the Subcritical Multiplication Factor.

How do you compare count rates for changes during start up?
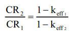
CR1(1-Keff1) = CR2(1-Keff2)

What is required in order to estimate nearness to criticality using equations and relationships?
Equilibrium conditons must be present at the start and at the end of the count rate comparison.
During the initial plant heat up to SOP/SOT, what is a concern with all shutdown rods withdrawn?
At BOL following core reload there is the potential for the MTC to be positive. Burnable poisons mitigate this.
The addition of positive reactivity with heatup of a positive MTC core could violate Shutdown Margin requirements.
T.S. 3.1.3 for MTC
T.S. 3.1.1 for Shutdown Margin
What is a 1 over M plot?
Subcritical Multiplication is the ratio of a final count rate to an initial count rate.
M = CRn/CR0
As criticality is approached, Subcritical Mutliplication grows ever larger. This is difficult to plot, even with log paper.
1 over M, means as criticality is approached, the resulting inverse ratio approaches zero. This is easier to plot.
What is the purpose of a 1 over M plot.
An inverse multiplication plot, 1/M, is a good means of preventing unplanned criticality.
What is the dominant factor controlling Keff in a shutdown reactor?
The Control Rods
What is the Estimated Critical Position?
The ECP is a mathematical calculation in which moderator temperature, power history, time since shutdown, core age, boron concentration, and control rod worth are used to predict when the reactor should
go critical.
How are 1/M plots used in the plant and what governs their use?
GOP-3 Precautions and Limitations
5.1.1
An inverse multiplication (1/M) plot shall be used to predict the time when criticality will be achieved except as noted in Step 5.1.1c.
The plant has just achieved criticality when Tave dropw below 525F. What do you do?
GOP-3 5.1.3
If PCS temperature (TAVE) drops below 525F while the reactor is critical, Technical Specifications LCO 3.4.2 is applicable and a Condition Report shall be initiated.
T.S. 3.4.2
Applicable in Mode 1 or Mode 2 with Keff >= 1. Each PCS loop average temperature (Tave) shall be ≥ 525°F.
If not, then be in Mode 2 with Keff < 1.0 within 30 minutes.
Bases Document states: If Tave is below 525°F and cannot be restored in 30 minutes, the plant must be brought to a MODE in which the LCO does not apply.
What governs critical approach? What do you do if criticality is achieved with rods below PDIL?
GOP-3, Attachment 5.
1.3
IF the reactor reaches criticality and control rods are below the PDIL, THEN PERFORM the following to place the plant in a safe condition and restore shutdown margin:
What is observed, instruments and results, on the approach to criticality when rods are pulled?
When rod motion is stopped in a subcritical reactor, the source range count rate will achieve a new equilibrium level, and the SUR meter will eventually indicate zero, indicating that the reactor power level is no longer changing.
As keff approaches 1.0, each time rods are withdrawn, a longer period of time is required for the count rate to reach equilibrium. When
close to criticality, it is possible for this time period to be several minutes.
Parameters Monitored:
What is the Point of Adding Heat?
POAH - The point where heat production from fission
becomes significant enough to overcome
ambient losses
What happens on reactivity insertion above the point of adding heat?
As reactor power increases above the point of adding heat, fuel and moderator temperatures increase.
This results in negative reactivity addition, due to the Doppler and moderator temperature coefficients, which eventually causes the startup rate to fall to zero and power to stabilize.
What does critical “look like” and when do we call it?
A reactor that is exactly critical has a stable neutron count rate after rod motion has ceased.
Subcritical multiplication also results in a stable
neutron count rate and a startup rate equal to zero.
Criticality is announced with a steadily increasing SUR when the reactor is slightly supercritical.
Why does Tave go up as reactor power is raised while holding Tcold constant?
At HZP of 532F steam pressure will be approximatly 900 psig. To maintain steam quality as load is raised (more steam flow), Tave rises.
If Tave was held constant as power rose, then at some point the steam would be superheated and secondary system would be designed different.
Lowering RCS temperatures will cause lower steam pressures in the secondary plant and lower overall plant efficiency.
What happens with large distortions in the axial power profile?
Could leak to peaking factors outside of design limits.
For a negative ASI, what is required to move control rods out? Positive ASI?
Moving rods out will facilitate the density moving towards the top of the core. To maintain power while moving rods out, a boration must be done.
Moving rods in will facilitate the density moving towards the bottom of the core. Dilution is required (keep in mind PDIL) to move the rods in while maintaining power.