What is a vector space?
A vector space (also called a linear space) is a collection of objects called vectors, which may be added together and multiplied (“scaled”) by numbers, called scalars in this context.
10 Axioms of Vector spaces
If W is a set of one or more vectors in a vector space V, then W is a subspace of V if and only if the following conditions are satisfied.
(a) If u and v are vectors in W, then u + v is in W.
(b) If k is a scalar and u is a vector in W, then ku is in W.
What’s the subspace W of V?
If S = {w1, w2, . . . , wr } is a nonempty set of vectors in a vector space V , then the subspace W of V that consists of all possible linear combinations of the vectors in S is called the subspace of V generated by S, and we say that the vectors w1, w2, . . . , wr span W. We denote this subspace as W = span{w1, w2, . . . , wr } or W = span(S)
How to determine if 3 vectors span R^3?
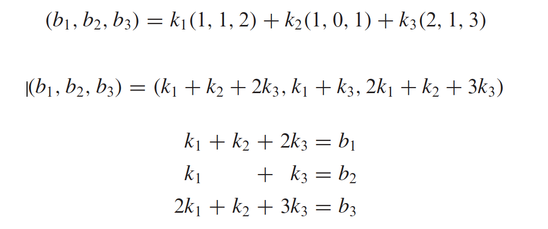
We must determine whether an arbitrary vector b = (b1, b2, b3) in R3 can be expressed as a linear combination
b = k1v1 + k2v2 + k3v3
Then check if the system is consistent or inconsistent (Det = 0)
