What is a Regression Line?
A straight line that describes how a response variable y cahnges as an explanatory variable x changes.
We often use a regression line to predict the value of y for a given value of x.
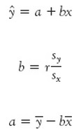
What is the Least Squares Regression Line and how is it calculated?
The least-squares regression line is the line that makes the sum of the squares of the vertical distances of the data points from the line as small as possible.

What does the square of the correlation, r^2, tell us?
r^2 tells us what fraction of the variation in y can be explained by variation in x (the regression line).
In the context of scatterplots and regression lines, what is a Residual?
The difference between observed value of response variable and value predicted by the regression line

What is a Residual Plot?
A scatterplot of the regression residuals against the explanatory variable.

What is Ecological Correlation and how can it be detrimental to the interpretation of data?
A correlation based on averages rather than on individuals.
Correlations based on averages can be misleading if they are interpreted to be about individuals
What is Extrapolation and how can it be detrimental to the interpretation of data?
The use of the regression line for prediction far outside the range of values of the explanatory variable x.
Few relationships are linear for all values of x.