What is the
Naive/Baseline Prediction
and why is it important to have one?
A Naive/Baseline Prediction is generally the simplest possible prediction you can make with your Data if you want to generate the same predicted y values for all your observations – generally this prediction is the mean of your y values, π¦Β― . A baseline prediction is important to have because it gives you a basis of comparison for your future predictions/models.

What are
residuals/errors
and how are they calculated?
Residuals/Errors are the difference between the true value of y and the predicted value of y.

What is the
Mean Squared Error
and why do we utilize it?
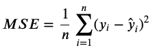
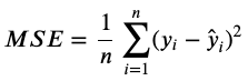
The MSE measures the average of the squares of our residuals/errors. In short, it is the average squared distance between the estimated values and what is estimated. Also known as a Loss Function, the MSE is a helpful way to measure how good or bad a model is. The MSE is always non-negative, and the closer to 0 it is, the better.

How might we
minimize
our
MSE/SSE/RSE
For Simple Linear Regression?
model.intercept_ after fitting your model in Python
What is the main Python library we will be using for
Machine Learning?
What other python libraries might we use for modeling?
Sklearn/Scikit-Learn for machine learning.
We can also use statsmodels in the context of regression modeling – although this package is generally used for statistical modeling.
In general, we use machine learning for prediction and statistics for inference.
What does it mean to
Fit
a model?
When we fit a model, we are estimating the parameters of the model with our data. The process of fitting our model means to calculate the values of Ξ²^0(BetaHat0) and Ξ²^1(BetaHat1): our best guesses for what their true values are.
What are the 4 steps for building a Linear Regression model?
model = LinearRegression()model.fit(X, y)y_pred = model.predict(X)MSE(Y , y_pred)What does it mean to
Make Predictions
from a model?
Making predictions from a model is when we take an observation’s x values and plug those values into their corresponding slots in the equation below (EG X1 will go with B1, X2 with B2, etc.). Once everything to the right of the equals sign is a number, add and multiply those as they’re written to get the predicted value.

What are the
4 Assumptions
of SLR
Are they the same for MLR?
LINE
Do you want your Residuals to have a normal distribution? Why or why not?
Yes, you do want your residuals to have a normal distribution. If there is a consistant variance between low and high predictions, that means your residuals have scedasticity. If they do not, your target is heteroscedastic and should probably be run through a ‘power transformer’.
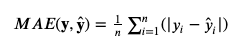
What is
MAE

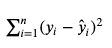
What is
RSS

What is
MSE

What is
RMSE

What is the Coefficient of Determination?
or π Β²?

What is Bias?
Bias is how bad your model is at predicting Y, the average difference between our model π¦Μ and the truth y. A high bias model is classified as Unferfit
What is Variance?
Variance is how bad your model is at generalizing to new data. A high variance model is classified as Overfit
What are some common strategies for dealing with bias and variance?
The goal with modelling is to generalize our estimations well.
What does
Ο2
represent in the context of bias/variance and regression?
What is a
Train/Test Split
and why do we do them?
What is
Feature Engineering?
The Process of Feature Engineering
What is
K-Fold Cross Validation
and why do we use it?
What are
Interaction Terms?
How would we create
Interaction Terms in masse?
poly = PolynomialFeatures(include_bias=False)X_poly = poly.fit_transform(X)