Réno Flashcards

(30 cards)

1
Q

Classification des mutations

A
  • Selon effet sur structure: simple, profonde
  • Selon effet sur fonction : perte de fonction, gain de fct, dominante, léthale
  • Selon effet sur la valeur adaptative : néfaste, bénéfique neutre
How well did you know this?
1
Not at all
2
3
4
5
Perfectly
2
Q

Def mutations

A

Tout changement dans la séquence de l’ADN

How well did you know this?
1
Not at all
2
3
4
5
Perfectly
3
Q

Conséquences de la mutations dépend du …

A

… type cellulaire:

  • C. germinale: affecte l’espèce (prochaines générations)
  • C. somatique: affecte l’individu
How well did you know this?
1
Not at all
2
3
4
5
Perfectly
4
Q

Combien de mod. faut-il pour passer de yeux bruns à bleu?

A

1 modification d’un nucléotide

How well did you know this?
1
Not at all
2
3
4
5
Perfectly
5
Q

Types de réparations de l’ADN

A

Ponctuelles:
- Substitution de nucléotides; durant réplication ou mod. de la structure chimique d’un nt déjà présent
- Indels: Insertion ou délétion d’une paires de nucléotides
Modifications profondes:
- Large insertion ou délétion
- Réarrangement chromosomique : Change l’ordre des gènes par modification de large région du chromosome. Translocation, recombinaison aberrante, transposons, inversion
- Amplification génétique: Répétitions anormales de section de l’ADN post-réplication

How well did you know this?
1
Not at all
2
3
4
5
Perfectly
6
Q

Caractéristique et def de la substitutions

A

C’est le remplacement d’un nucléotide, et aussi d’une paire de nucléotide par une autre
Est dû à des mécanismes de la réplication de l’ADN:
- Erreur produite durant réplication et elle n’est pas réparée
- Mod. de la struc chimique d’un nucléotides déjà présent induit une erreur de lecture de la polymérase qui associe la mauvaise BA
* La réplication peut se relire et réparer durant réplication, ce qui diminue drastiquement les erreurs

How well did you know this?
1
Not at all
2
3
4
5
Perfectly
7
Q

Nomme les 2 classes de substitutions

A
  • Transition d’une pyrimidine à un autre, ou d’une purine à une autre
  • Transversion d’une pyrimidine à une purine, ou l’inverse
How well did you know this?
1
Not at all
2
3
4
5
Perfectly
8
Q

Qu’est-ce qu’il y arrive si une base erronée ou un indels n’est pas réparée?

A

Mutation sera incorporé dès la prochaine réplication. Ce polymorphisme sera inscrit dans le génome le reste de la vie de la lignée cellulaire. On ne peux plus réparer

How well did you know this?
1
Not at all
2
3
4
5
Perfectly
9
Q

Comment fonctionne la réparation des mésappariements(MMR)?

A

Se passe durant la réplication pour des mutations simples.

  • C. identifie l’erreur, identifie quel brin et corrige, tout très vite (avant la prochaine réplication)
  • Méthyltransférase Dam reconnait séquence GATC)(très fréquente) sur ADN et y ajoute un méthyl sur un adénine de l’ADN parental.
  • La prot MutS parcourt l’ADN et spot les distorsions de la charpente (check pas les bases) ->quand elle en trouve une il y a changement de confirmation de la port MutS: ADP->ATP.
  • Recrutement de la prot. MutL
  • MutH se lie à la séquence GATC récemment méthylée, inactive jusqu’à ce que MutS/MutL l’active -> MutH coupe sélectivement le brin non méthylé. Déclenche réparation spécifique du brin neuf
  • Hélicase spécialisé va au point de coupure et ouvre ADN
  • Exonucléase élimine nucléotides jusqu’à plus loin que le mésappariements
  • ADN pol 3 et ligase viennent réparer
How well did you know this?
1
Not at all
2
3
4
5
Perfectly
10
Q

Mécanisme dam est présent seulement chez…

A

Quelques procaryotes. So bouuuuh

How well did you know this?
1
Not at all
2
3
4
5
Perfectly
11
Q

Dans le MMR, quelles sont les particularités de l’exonucléase?

A

Différentes exonucléase sont utilisé!

  • Exonucléase VII pour les mésaparriement en 5’ qui dégrade ADNsb en 5’->3’
  • Exonucélase I qui dégrade en 3’ l’ADNsb en 3’->5’
How well did you know this?
1
Not at all
2
3
4
5
Perfectly
12
Q

MMR chez eucaryotes et autres procaryotes:

A

Surtout chez eucaryote, ne possèdent pas MutH ni syst DAM pour différencier brin mère de brin fille.

  • Il existe des homologues de MutS et MutL (MSH et MLH)
  • MSH semblent être une évolution de MutS par ses sous-unités différentes qui peuvent spot des mutations différentes.
  • Les cellules sont recrutés pas le complexe de l’eau coulissant
How well did you know this?
1
Not at all
2
3
4
5
Perfectly
13
Q

Qu’est-ce qu’un microsatellite?

A

séquence d’adn composé par la répétition de 2 à 4 nt (ex. CACACACA)

How well did you know this?
1
Not at all
2
3
4
5
Perfectly
14
Q

Qu’est-ce que le mécanisme de glissement réplicatif?

A

Lorsqu’il y a des boucles formées de microsatellites dans des régions simple brins, il y a des dérapages:
- Augmente ou diminue le nbr de répétitions présentes

How well did you know this?
1
Not at all
2
3
4
5
Perfectly
15
Q

Explique la maladie de Huntington

A

Augmentation du nbr de CAG-glutamine au sein du gène HD. C’est l’ajout de la glutamine sur l’Huntington qui vient chier les c. neuronale exprimant cette prot.

  • Agrégation des prot. dans la c.: pont H entre prot mutantes -> provoque détachement de la dynéine des microtubules ->mauvaise conduction des vésicules
  • Clivage des prot. mutantes -> importés dans le noyau-> mort cellulaire des neurones
  • Modifie le niveau d’expression de gène impliqué dans la signalisation intracellulaire et la réception de NT
How well did you know this?
1
Not at all
2
3
4
5
Perfectly
16
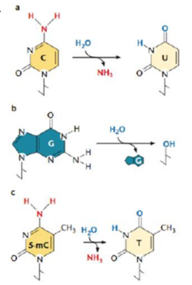
Q

Explique les actions de l’eau sur l’altération chimiques des séquences de l’ADN

A

1) La désamination (perte d’un groupement amine):
- Cytosine devient uracile (a)
- Cytosine-CH3 devient thymine (c)
2) Dépurination: (coupure du lien glycosidique reliant purine-sucre) Résultat : un site apurique (AP) (b)

17
Q

Décrit les effets des substances mutagènes sur l’ADN

A
  • Analogue de base: Une autre mol. remplace la base et l’appariement se fait selon la mol. ajoutée
  • Agent intercalant: une mol. s’insère entre les bases (gosse dans réplication/traduction)
  • Alkylation: Ajout de gr. chimiques sur les bases. Effet: Mésappariement ou juste pas d’appariement
  • Oxydation: Ajout d’un “O” ou perte d’un “H”. Résultat: un mésappariement (mutation les plus communes dans le cancer humain)
18
Q

Les deux sortes de facteurs environnementaux

A

substances mutagènes (Agents chimiques qui augmente le taux de mutation) et les radiations

19
Q

Effet des altérations chimiques causés par les radiations

A
  • Rayon UV: La lumière proche de 260nm va sur les bases-> fusion photochimique de 2 pyrimidines adj sur le même brin (création d’anneau cyclobutane entre T et T) Ces dimères sont impossibles à apparier et provoque la fin de la polymérase
  • Radiations ionisantes: Directement; en s’attaquant au sucre -> cassure bicaténaire de l’ADN
    Indirectement; favorise apparation de radicaux libres
20
Q

Qu’est-ce que l’inversion directes des altérations et ses 2 types?

A

C’est des enzymes spécialisé qui remarque directement les bases altérés et les corriges

  • Photolyase(pas présent chez humain): Reconnait dimère de pyrimidine (causé par UV) et s’y lie. À la prochaine expo à la lumière, elle clive l’anneau de cyclobutane
  • La méthyltransférase: Reconnait G-CH3(alkylation). L’enzyme catalyse le transfert de la méthylguanine vers une de ces cystéines. Rx irréversibles. Enzyme non réutilisables
21
Q

Fonctionnement de l’excision de base

A
  1. ADN glycosylase parcourt ADN et analysent sillon mineur, détectent les bases altérées/bases insérées par mésappariement.
  2. Pivote la base altérée vers l’extérieur de la double hélice et est placé dans le site actif de l’ADN glycosylase
  3. La glycosylase clive le lien glycosidique-> le nt devient apurique ou apyrimidique (AP)
  4. L’endonucléase AP enlève AP (2 coupure en 5’ et exo en 3’). L’ADN pol. et ligase peuvent ensuite réparer brèche
22
Q

Fonctionnement de la réparation par excision de nucléotides (NER)

A

Chez procaryote:

  1. UvrA-UvrB parcourt l’ADN et quand une déformation d’hélice est détectée, UvrA se détache.
  2. UvrB sépare les 2 brins et recrute UvrC qui coupe la séquence avec la déformation
  3. UvrD détache le segment
  4. ADN pol et ligase viennet réparer le brin

Existe chez eucaryote, mais c’est beaucoup plus complexes.

23
Q

Qu’est-ce qui peut se passer si des prot de la réparation par excision de nucléotides chez eucaryote sont mutés?

A

Le cancer de la peau

24
Q

Fonctionnement de la réparation translésionnelle

A

Durant réplication, quand l’ADN pol est bloqué par altération non réparé, elle quitte. L’ADN pol translésionnelle réplique ADN sans respecter appariements.
- Processus forcément mutagènes, mais mieux qu’un réplication incomplète du chromosome

Certaine ADN pol trans sont spécifique à un type d’Altération et répliquent ADN correctement.

25
Particuliarité de l'E coli et de la réparation translésionnelle
L'ADN pol translésionnelle est synthètisée juste quand il y a trop de mutations (réponse SOS).
26
Fonctionnement de la réparation par recombinaison homologue (HR)
Lors de mitose, ADN exposé et rend sensible à l'instabilité génomique -\> il y a bris double brins ou cassures bicaténaires. Ceci cause rayon ionisant ou blocage de la fourche de réplication Basically un des brins de l'ADN bicaténaire va faire une invasion d'un autre brin et il y a synthèse de réparation à partir de 3'. Formation d'un intermédiaire avec 2 jonction de Holliday Information perdue est récupérée sur chromatide soeur (pas très mutagène) Enzyme: Enzyme recombinases
27
Explique le processus des jonctions holliday
En gros il y invasion des brins dans 2 ADNdb. Ils vont s'échanger une partie de brin ou s'échanger la "moitié" de leur brin( AB et ab devient Ab et aB)
28
Étapes de la ligature direction des extrémités non homologue (NHEJ)
1. On spot les extrémités libres d'ADN et on assemble le complexe NHEJ à la cassure. C'est l'hétérodimère Ku70/Ku80 et se lie à la cassure. Devient échafaudage pour les autres prot du complexe: kinase, ligase et nucléase 2. Formation du complexe et activation Kinase DNA-PKcs qui stabilisent extrémités de l'ADN. Empêchent action de nucélase non-spécifique 3. Endonucléase Artemis fait des coupes franches pour rendre les extrémités compatible ce qui permet la ligation (perte de nt) 4. Ligation des extrémités par ligase IV et dissolution du complexe NHEJ
29
Mutations dans les gènes BRCA1/2 problèmes :(
Ce sont des gènes supresseurs de tumeurs: - Intéragissent avec d'autres supresseurs de tumeurs - Intéragissent avec prot de réparation, principal intéraction (HR et NHEJ) - Intéragissent avec régulateurs du cycle cellulaire Augment de 50-80% les risques de dev un cancer du sein et de 30-50% les risques de dev d'un cancer des ovaires
30