Required Background Knowledge Flashcards

(4 cards)

1
Q

What is a constant?

A

A lonely number that is not attached to any variable.

How well did you know this?
1
Not at all
2
3
4
5
Perfectly
2
Q

What is a coefficient?

A

The number in front of the variable. For example, the coefficient of 4x is 4.

How well did you know this?
1
Not at all
2
3
4
5
Perfectly
3
Q

What is the go-to solution if your equation has an x2 term and an x term?

A

Get everything on one side,

so ax2+bx+c=0.

Then use the quadratic formula to find x.

How well did you know this?
1
Not at all
2
3
4
5
Perfectly
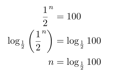
4
Q

What is the go-to solution if the variable you’re interested in is trapped in the exponent?

A

LOGS!

Take the log of both sides, where the base of the log is the same as the base of the exponential term. This will leave behind only the stuff in the exponent.

For example:

How well did you know this?
1
Not at all
2
3
4
5
Perfectly