Oxidation- reduction proteins are located within the
mitocondrial membrane

This respiratory chain serves to break up the 52 kcal/mole available from the flow of ___from NADH to O2 into approximately three equal amounts.
2 electrons
This respiratory chain serves to break up the 52 kcal/mole available from the flow of 2 electrons from NADH to O2
the majority of this energy is used to
form atp
The rate of respiration is controlled by the availability of ___
ADP
Advantages of a membrane-bound respiratory chain chain
(1) Kinetics: Not limited by the rate of diffusion; no mobile carrier needed.
(2) Stability of intermediates: reduced fuel will be converted to energy stored in an electrochemical gradient. For a gradient you need two compartments. The membrane provides such a boundary.
Flavins:___donor/acceptor
two-electron
Flavins have a ___ addition
1,4

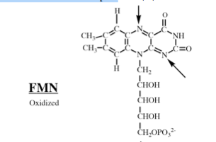
NADH dehydrogenase contains tightly bound
FMN
Succ. Dehyd. contains covalently bound ___
FAD

Iron-Sulfur Centers: Accept e-1s from
Flavins and Q
iron sulfate centers may have ___ irons per
center
2-4
Iron-Sulfur Centers have how many electron donor/acceptors?
They may have 2-4 irons per
center, but they are _one-electron donor/acceptors. _
Acidification of iron sulfar centers leads to →
H2S gas
Ubiquinone: ___-electron donor/acceptor
two
ubiquinone Functions as an electron ___.
buffer
Ubiquinone has ___ additon
1,6
Hemes: ___-electron donor/acceptors
one
The heme is covalently attached to two ____ side chains in cytochromes c and c1.
cysteine
The iron atom of the heme group in cytochrome c coordinates to a
methionine and a histidine side chain in addition to the 4 porphyrin-ring nitrogens.

Copper Centers: one-electron donor/acceptors in
cytochrome oxidase
Copper center A contains ___ Cu
two

what forms the forms the O2 binding site at the end of the Respiratory Chain?
in cytochrome oxidase

what is in cytosohome oxidase?
CuA, CuB, Cyt a, Cyt a3
path of electron flow in cytochrome oxidase?
to CuA -> cytocrhome a -> cytochrome 3 -> cuB
