Formula for probability with replacement where all outcomes equally likely
P(A) = n(A)/n(S)
where A is the event
n(A) is the number of different ways the event can happen
n(S) is the number of different ways things can happen in sample space
Formula for probability without replacement where all outcomes equally likely
Same as for with replacement: P(A) = n(A)/n(S)
except use factorials not powers now to account for not replacing
permutation
Any ordered arrangement of objects
The number of different permutations of N objects, e.g. number of permuations of three animals
The number of different permutations of N objects is N!
So number of three animals is 3! = 6
fox, rabbit, dog
fox, dog, rabbit
rabbit, fox, dog
rabbit, dog, fox
dog, rabbit, fox
dog, fox, rabbit
The number of different permutations of n objects taken from N, e.g. 2 animals from 3 animals
The number of different permutations of n objects taken from N objects is N!/(N-n)!
e.g. 2 animals from 3 animals = 3!/1! = 6
fox,rabbit
rabbit,fox
fox,dog
dog,fox
rabbit,dog
dog,rabbit
Combination
Any unordered arrangement of objects is called a combination
The number of different combinations of n objects taken from N objects,
e.g. 2 animals from 3
The number of different combinations of n objects taken from N objects is N!/{(N-n)!n!} written as N choose n (N n)^T
e.g. 2 animals from 3 = (3 2)^T = 3!/(3-2)!2! = 3!/2! = 3
dog, rabbit
fox,rabbit
dog,fox
hypergeometric experiment
A hypergeometric experiment is a statistical experiment that has the following properties:
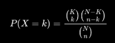
hypergeometric probability
h(x; N, n, k): hypergeometric probability - the probability that an n-trial hypergeometric experiment results in exactly x successes, when the population consists of N items, k of which are classified as successes.
binomial experiment
A binomial experiment is a statistical experiment that has the following properties:
binomial probability
The binomial probability refers to the probability that a binomial experiment results in exactly x successes.
Key principles of the Belmont report
1 Respect for persons:
2 Beneficence:
• Maximize benefits and minimize harms
3 Justice
• Equitable distribution of research burdens and benefits
Conditional probability formula

Bayes Rule

mean and variance of binomial
mean of binomial np
variance of binomial: nP*(1-P).
uniform distribution
uniform distribution refers to a probability distribution for which all of the values that a random variable can take on occur with equal probability
P(X=xk) = 1/k where there are k different values, e.g. 1/6 for probability of rolling a 4
mean of hypogeometric distribution
nK/N
Variance of hypogeometric distribution
Difference between machine learning and RCTs
Machine learning conerned with prediction;
RCT concerned with causal estimation
Mean of exponential function
1/λ
mean of uniform distribution, e.g. U~(1,15)
Mean of uniform distribution: (a+b)/2
e.g. mean of U(1,15)=(1+15)/2=8
95% confidence interval formula for sample mean where s2 is sample variance and n=10
Variance in a standard Neyman analysis
Fisher exact test
The Fisher exact test tests the hypothesis that the treatment effect is identically 0 for all treatment units.