La factorisation est basée sur la propriété de distributivité
L’expression ci dessous est égale à


Factorisation de type 1


Factorisation de type 1 - Variante 1
L’idée ici est de faire apparaitre la multiplication dans un des termes :
A × B − A = A** × B − **A × 1


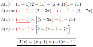
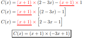
Factorisation de type 1 - Variante 1
L’idée ici est de faire apparaitre la multiplication dans un des termes :
A × B − A = A × B − A × 1


Factorisation de type 1 classique
A × B + A × B = A × (B + C)


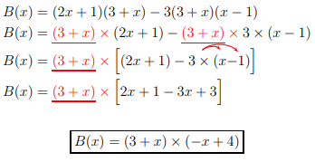
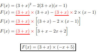
Factorisation de type 1 - Variante 2
L’idée ici est de faire apparaitre la multiplication dans un des termes à partir du carré : A × B − A2 = A × B − A × A


Factorisation de type 1 - Variante 2
L’idée ici est de faire apparaitre la multiplication dans un des termes à partir du carré : A × B − A2 = A × B − A × A


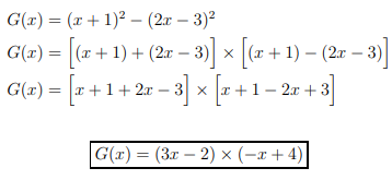
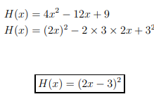
Factorisation de type 2 : Avec les identités remarquables
L’idée est de reconnaitre une des trois identités remarquables, souvent la 3e
A2 + 2AB + B2 = (A + B)2
A2 − 2AB + B2 = (A − B)2
A2 − B2 = (A + B)(A − B)


Factorisation de type 2 : Avec les identités remarquables
L’idée est de reconnaitre une des trois identités remarquables, souvent la 3e
A2 + 2AB + B2 = (A + B)2
A2 − 2AB + B2 = (A − B)2
A2 − B2 = (A + B)(A − B)


Factorisation de type 3 : C’est un mixte des 2 premières
L’idée est d’effectuer un factorisation intermédiaire dans un des termes de la somme afin de faire apparaitre le facteur commun.


Factorisation de type 3 : C’est un mixte des 2 premières
L’idée est d’effectuer un factorisation intermédiaire dans un des termes de la somme afin de faire apparaitre le facteur commun.

