RXNS Flashcards

(120 cards)

1
Q

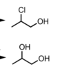
HYDROHALOGENATION

A
How well did you know this?
1
Not at all
2
3
4
5
Perfectly
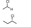
2
Q

HYRDROHALOGENATION (WITH REARRANGMEMENT)

A
How well did you know this?
1
Not at all
2
3
4
5
Perfectly
3
Q

HALOGENATION

A
How well did you know this?
1
Not at all
2
3
4
5
Perfectly
4
Q

HYDROBROMINATION WITH PEROXIDE

A
How well did you know this?
1
Not at all
2
3
4
5
Perfectly
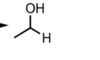
5
Q

HYDRATION

A
How well did you know this?
1
Not at all
2
3
4
5
Perfectly
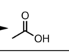
6
Q

HYDRATION WITH REARRANGEMENT

A
How well did you know this?
1
Not at all
2
3
4
5
Perfectly
7
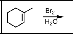
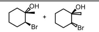
Q

BROMINATION IN H20

A
How well did you know this?
1
Not at all
2
3
4
5
Perfectly
8
Q

OXYMERCURATION - DEMERCURATION

A
How well did you know this?
1
Not at all
2
3
4
5
Perfectly
9
Q

HYDROBORATION-OXIDATION

A
How well did you know this?
1
Not at all
2
3
4
5
Perfectly
10
Q

SYN DYHYDROXYLATION

A
How well did you know this?
1
Not at all
2
3
4
5
Perfectly
11
Q

SYN DYHYDROXYLATION

A
How well did you know this?
1
Not at all
2
3
4
5
Perfectly
12
Q

ANTI-DIHYDROXYLATION

A
How well did you know this?
1
Not at all
2
3
4
5
Perfectly
13
Q

ADDITION OF AN ALCOHOL

A
How well did you know this?
1
Not at all
2
3
4
5
Perfectly
14
Q

BROMINATION IN ALCOHOL

A
How well did you know this?
1
Not at all
2
3
4
5
Perfectly
15
Q

ALKOXYMERCURATION- DEMERCURATION

A
How well did you know this?
1
Not at all
2
3
4
5
Perfectly
16
Q

EPOXIDATION

A
How well did you know this?
1
Not at all
2
3
4
5
Perfectly
17
Q

CATALYTIC HYDROGENATION

A
How well did you know this?
1
Not at all
2
3
4
5
Perfectly
18
Q

OZONOLYSIS (REDUCING CONDITIONS)

A
How well did you know this?
1
Not at all
2
3
4
5
Perfectly
19
Q

OZONOLYSIS (OXIDIZING CONDITIONS/ OXIDATIVE CLEAVAGE)

A
How well did you know this?
1
Not at all
2
3
4
5
Perfectly
20
Q

CATALYTIC HYDROGENATION (CATALYTIC REDUCTION)

A
How well did you know this?
1
Not at all
2
3
4
5
Perfectly
21
Q

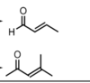
REDUCTION TO CIS-ALKENE

A
How well did you know this?
1
Not at all
2
3
4
5
Perfectly
22
Q

REDUCTION TO TRANS-ALKENE

A
How well did you know this?
1
Not at all
2
3
4
5
Perfectly
23
Q

HYDROHALOGENATION WITH HBR (TERMINAL ALKYNE)

A
How well did you know this?
1
Not at all
2
3
4
5
Perfectly
24
Q

HYDROHALOGENATION WITH HBR ( INTERNAL ALYKYNE)

A
How well did you know this?
1
Not at all
2
3
4
5
Perfectly
25
HALOGENATION WITH BR2
26
HYDRATION OF AN INTERNAL ALKYNE
27
HYDRATION OF A TERMINAL ALKYNE ( MARKOVNIKOV)
28
HYDRATION OF A TERMINAL ALKYNE ( ANTI-MARKOVNIKOV)
29
SN2 ADDITION OF AN ACETYLIDE ION TO AN ALYKL HALIDE
30
SN2 ADDITION OF ACETYLIDE ION TO A KETONE
31
SN2 ADDITION OF AN ACETYLIDE ION TO AN EPOXIDE
32
OZONOLYSIS/OXIDATIVE CLEAVAGE OF AN INTERNAL ALKYNE
33
OZONOLYSIS/OXIDATIVE CLEAVAGE OF A TERMINAL ALKYNE
34
ALYKNE FORMATION FROM DOUBLE ELIMINATION OF A VICINAL DIHALIDE
35
FREE RADICAL HALOGENATION USING BROMINE (MORE SELECTIVE)
36
FREE RADICAL HALOGENATION USING CHLORIDE (LESS SELECTIVE)
37
ACYLIC/BENZYLIC BROMINATION
38
DIENE ADDITION TO AN DIENOPHILE (ALKENE)
39
DIENE ADDITION TO A DIENOPHILE (ALKYNE)
40
DIENE ADDITION TO A CIS DIENOPHILE
41
DIENOPHILE TO A TRANS DIENOPHILE
42
DIENE ADDITION TOA SUBSTITUTED DIENOPHILE
43
ADDITION OF A GRIGNARD REAGENT TO AN ALDEHYDE
44
ADDITION OF A GRIGNARD REAGENT TO AN KETONE
45
ADDITION OF A GRIGNARD REAGENT TO AN ESTER
46
ADDITION OF A GRIGNARD REAGENT TO AN ACYL CHLORIDE
47
ADDITION OF A GRIGNARD REAGENT TO CO2
48
ADDITION OF A GRIGNARD REAGENT TO AN EXPOXIDE ( ADDS TO THE LESS SUBS. SIDE)
49
ADDITION OF A GRIGNARD REAGENT TO A CARBOXYLIC ACID
50
ADDITION OF A GRIGNARD REAGENT TO AN AMIDE
51
ADDITION OF A GRIGNARD REAGENT TO A NITRILE
52
FRIEDEL CRAFTS ALKYLATION ( REARRANGEMENT POSSIBLE)
53
FRIEDEL CRAFTS ALKYLATION (NO REARRANGEMENT POSSIBLE)
54
BROMINATION
55
CHLORINATION
56
NITRATION
57
SULFONATION
58
FORMYLATION
59
EAS WITH AN ORTHO/PARA DIRECTING GROUP ON BENZENE
60
EAS META-DIRECTING GROUP ON BENZENE
61
FRIEDEL-CRAFTS ALKYLATION/ACYLATION WITH A META-DIRECTING GROUP OR AN AMINE ON BENZENE
62
SIDE CHAIN OXIDATION OF BENZENE TO FORM BENZOIC ACID
63
SIDE CHAIN OXIDATION OF BENZENE TO FORM BENZOIC ACID
64
WOLF-KISHNER REDUCTION
65
CLEMMENSEN REDUCTION
66
ACETYLATION OF ANALINE USING ACETIC ANHYDRIDE
67
DIAZONIUM SALT REACTIONS
68
DIAZONIUM SALT REACTIONS
69
REDUCTION OF AN ALDEHYDE TO A 1 ALCOHOL
70
REDUCTION OF A KETONE TO A 2 ALCOHOL
71
REDUCtION OF A CARBOXYLIC acid to a 1 alcohol
72
REDUCTION OF AN ESTER TO AN 1 ALCOHOL
73
REDUCTION OF AN ESTER TO AN ALDEHYDE
74
REDUCTION OF AN ACYL CHLORIDE TO A 1 ALCOHOL
75
REDUCTION OF AN ACYL CHLORIDE TO A 1 ALCOHOL
76
REDUCTION OF AN AMIDE TO AN AMINE
77
REDUCTION OF AN ACYL CHLORIDE TO AN ALDEHYDE
78
HOFMANN REARRANGEMENT
79
REDUCTION OF A NITRILE TO AN AMINE
80
CONVERSION OF A 2/3 ALCOHOL TO AN ALKYL HALIDE VIA SN1
81
CONVERSION OF A 1/2 ALCOHOL TO AN ALKYL BROMIDE VIA SN2
82
CONVERSION OF A 1/2 ALCOHOL TO AN ALKYL CHLORIDE VIA SN2
83
CONVERSION OF AN ALCOHOL TO A TOSYLATE ESTER (OTS)
84
ACID CATALYZED DEHYDRATION OF AN ALCOHOL
85
CHROMIC ACID OXIDATION OF A 1 ALCOHOL TO A CARBOXYLIC ACID
86
CHROMIC ACID OXIDATION OF A 2 ALCOHOL TO A KETONE
87
Chromic Acid Oxidation of an Aldehyde to a Carboxylic Acid
88
PCC or DMP Oxidation of a 1 Alcohol to an Aldehyde
89
PCC or DMP Oxidation of a 2 Alcohol to a Ketone
90
Oxidative Cleavage of a 1,2 Diol
91
Swern Oxidation
92
Williamson Ether Synthesis via SN2
93
Acid-catalyzed Cleavage of Ethers when one side is 2 ̊/3 ̊ (Nucleophile attacks more substituted side via SN1)
94
ACID CATALYZED CLEAVAGE OF ETHERS WHEN NEITHER SIDE IS 2/3 (NUCLEOPHILE ATTACKS LESS SUB. SIDE VIA SN2)
95
ACID CATALYZED RING OPENING OF EPOXIDES (NUCLEOPHILE ATTACKS MORE SUB. SIDE)
96
BASE CATALYZED RING OPENING OF EPOXIDES (NUCLEOPHIOLE ATTACKS LESS SUB. SIDE)
97
NUCLEOPHILIC ADDITION TO AN ALDEHYDE OR KETONE
98
ADDITION OF WATER TO AN ALDEHYDE OR KETONE FORMING A HYDRATE
99
BASE CATALYZED ADDITION OF AN ALCOHOL TO AN ALDEHYDE OR KETONE FORMING A HEMI-ACETAL/HEMI-KETAL
100
ACID CATALYZED ADDITION OF AN ALCOHOL TO AN ALDEHYDE OR KETONE FORMING A ACTETAL/KETAL (PROTECTING GROUP, REVERSED BY H30)
101
ACID CATALYZED ADDITION OF ETHYLENE GLYCOL TO AN ALDEHYDE OR KETONE FORMING ACETAL/KETAL (PROTECTING GROUP, REVERSED BY H30)
102
ADDITION OF A 1 AMINE TO AN ALDEHYDE OR KETONE FORMING AN IMINE ( REVERSED BY H30)
103
Addition of a 2 ̊ Amine to an Aldehyde or Ketone forming an Enamine (Reversed by H3O +)
104
ADDITION OF A WITTIG REAGENT TO AN ALDEHYDE/KETONE
105
Michael Addition to an α, β Unsaturated Ketone
106
Michael Addition to an α, β Unsaturated Ketone with a Gilman Reagent (Organocuprates)
107
Acid-catalyzed Hydrolysis of a Nitrile
108
SN2 formation of Nitriles using Cyanide and Alkyl Halides
109
Cyanohydrin Formation using Aldehydes/Ketones and Cyanide
110
Carboxylic Acid Derivative Reactions
111
Self Aldol Condensation and Enone Formation
112
Mixed Aldol Condensation and Enone Formation
113
Self Claisen Condensation
114
Mixed Claisen Condensation
115
Dieckmann Cyclization (Intramolecular Claisen Condensation)
116
Acetoacetic Ester Synthesis
117
Malonic Ester Synthesis
118
Alpha Halogenation In Basic Conditions
119
Alpha Halogenation in Acidic Conditions
120
Haloform Reaction