Dynamic Viscocity
F/A = µ U/Y
µ = Viscocity
U = Velocity
Y = Distance
Reynolds Number
u = average velocity
d = diameter
Conservaition Equations
Rate Of Input Property - Rate Of Output Propert + Rate Of Generation Of Property = Rate Of Accumulation Of Property
Mass Balance Equation
Rate Of Input Of Mass - Rate Of Output Of Mass + Rate Of Generation Of Mass = Rate Of Accumulation Of Mass
Steady State Momentum Balance Equation
Rate Of Input Momentum - Rate Of Output Momentum + Rate Of Generation Of Momentum = Rate Of Accumulation Of Momentum
Steady State Energy balance (applied to a Control Volume)
Steady Flow Energy Balance

Steady State Energy balance (applied to a Control Volume)
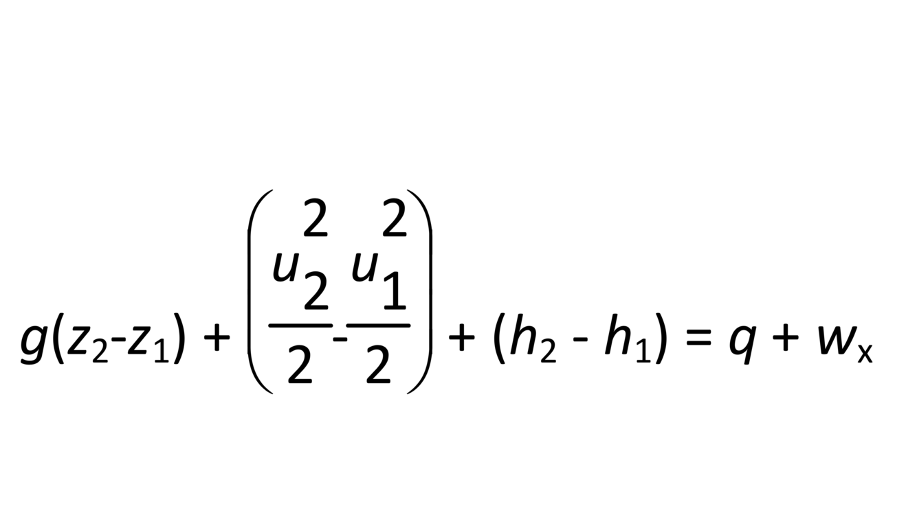
Mechanical Energy Balance

Steady State Energy balance (applied to a Control Volume)
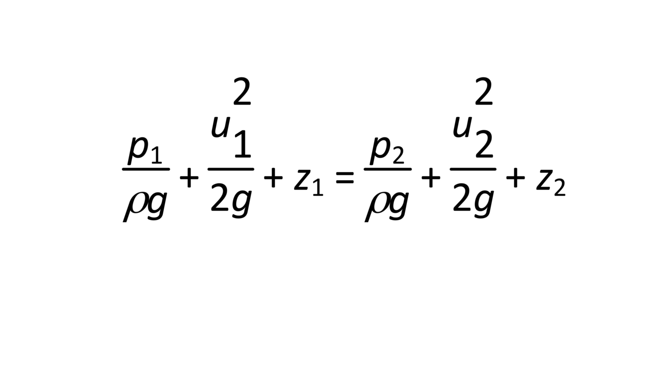
Bernoullis Equation

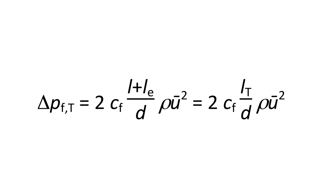
Fanning Friction Factor For Pipe Flow

Conversion Of Pressure To A Head Of Fluid (h)

Total Pressure Loss Due To Friction In Pipes

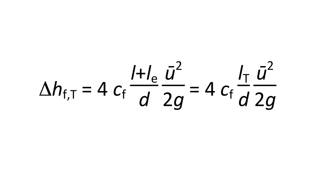
Total Head Loss Due To Friction In Pipes

Bernoullis Equation Applied To A Venturi Meter

Mechanical Energy Balance Equation Applied To The Shaft Work Driving A Centrifugal Pump
