Section 2 Flashcards

(57 cards)

1
Q
A

h/2π (reduced Planck constant)

How well did you know this?
1
Not at all
2
3
4
5
Perfectly
2
Q

A wave that describes an electron should have

A

And p=mv

How well did you know this?
1
Not at all
2
3
4
5
Perfectly
3
Q

Simple, planewave

A
How well did you know this?
1
Not at all
2
3
4
5
Perfectly
4
Q

Energy of free electron in empty space

A
How well did you know this?
1
Not at all
2
3
4
5
Perfectly
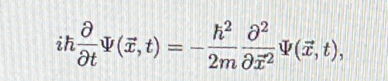
5
Q

(Time dependent) Schrödinger equation

A

Simplest equation to describe free plane wave

How well did you know this?
1
Not at all
2
3
4
5
Perfectly
6
Q
A
How well did you know this?
1
Not at all
2
3
4
5
Perfectly
7
Q
A
How well did you know this?
1
Not at all
2
3
4
5
Perfectly
8
Q

Schrodinger’s equation of motion under a potential

A
How well did you know this?
1
Not at all
2
3
4
5
Perfectly
9
Q
A

-(e^2)/x

How well did you know this?
1
Not at all
2
3
4
5
Perfectly
10
Q
A
How well did you know this?
1
Not at all
2
3
4
5
Perfectly
11
Q
A

Quantum state of particle

How well did you know this?
1
Not at all
2
3
4
5
Perfectly
12
Q
A
How well did you know this?
1
Not at all
2
3
4
5
Perfectly
13
Q
A

Sqrt(2pi)

How well did you know this?
1
Not at all
2
3
4
5
Perfectly
14
Q

Normalisable, functions have

A
How well did you know this?
1
Not at all
2
3
4
5
Perfectly
15
Q
A
How well did you know this?
1
Not at all
2
3
4
5
Perfectly
16
Q
A
How well did you know this?
1
Not at all
2
3
4
5
Perfectly
17
Q
A
How well did you know this?
1
Not at all
2
3
4
5
Perfectly
18
Q

At a time t, uncertainty of position of plane wave approximated by

A
How well did you know this?
1
Not at all
2
3
4
5
Perfectly
19
Q

Heisenberg’s uncertainty, principle

A
How well did you know this?
1
Not at all
2
3
4
5
Perfectly
20
Q

Free Schrödinger equation can be used to determine

A

Wave function for all t starting with t=0 and

How well did you know this?
1
Not at all
2
3
4
5
Perfectly
21
Q

Probability density of a wave function is

A

Gaussian and centred at x-_0(t)

How well did you know this?
1
Not at all
2
3
4
5
Perfectly
22
Q

The centre of the probability density of a wave function moves with?

A

Velocity (classical velocity of particle)

How well did you know this?
1
Not at all
2
3
4
5
Perfectly
23
Q

For large times, how to deal with uncertainty of x

A

Ignore initial uncertainty and let

24
Q

After a large time t, particles coordinates x_i wil most likely be in

A

(That p_1 should be p_i)

25
Linear operator for momentum
26
Let p^ _i act on the wave function of a plane wave
(As this wave a definite momentum p- ψ is just multiplied by the value of p_i
27
A wave function ψ is an eigenfunction function of Ο^ if ? What does that mean then?
With eigenvalue Ο€ **R** This means that the observable described by Ο^ has a definite value in the state described by ψ
28
Expectation of Ο^ in a normalised state given
Where Ο^ is general observable
29
Rewrite Schrödinger equation using operators
- use momentum linear operator (63)
30
What does the Hamiltonian operator do
Generalises the classical expression below
31
What is the Hamiltonian operator (equation)
32
Hermitian operator
33
Prove momentum operator is Hermitian
Integration by parts to get 2nd last line
34
Compute time derivative of normalisation condition
Given that the Hamiltonian (H^) is a Hermitian operator And Ψ_1 = Ψ_2 = Ψ Therefore last line = 0 Therefore norm is constant
35
Conservation of norm is what?
As the norm differentiates wrt time to give zero Norm is constant Therefore if norm = 1 at one moment of time It is 1 for all t Total probability is conserved under time evolution <=> time evolution is unitary
36
What is the commutator
37
For any observable operator, the time derivative of its expectation value is given by
38
Prove result of time derivative of expectation of any observable operator
2.2 is definition of Hermitian Sub in Hamiltonian for time derivative
39
Commutator of Hamiltonian operator and momentum operator
40
How to solve commutator of the Hamiltonian operator and the momentum operator
-use linearity to separate into (below) -
41
Compute commutator of potential of position and momentum operator
Where (63) is momentum operator = -ih(d/dx_i) (line through h)
42
Compute commutator of momentum from Hamiltonian and momentum operator
43
Combined solution to commutator of Hamiltonian operator and momentum operator
(87) is [H^, p^_i] = 1/(2m) [p^2, p^_i] + [U(x-), p^_i] (91) is [U(x-), p^_i] = i**h**d(U(x-))/dx_i
44
Time derivative of momentum operator in any state
Using commutator of Hamiltonian (first line) (2.3) formula for time derivative of expectation of any observable operator
45
[H^, x^_i] = ?
46
Time derivative of expectation of position operator
47
What are Ehrenfest Theorem?
Quantum contrast to classical equations of motion (classical below)
48
The Ehrenfest Theorem
Just top and bottom equations (middle used to derive bottom)
49
To integrate Gaussian function
Sqrt(π*σ)
50
51
Process when normalising wave
1) integrate abs val 2) let’s abs val equal 1 3) rearrange to isolate A
52
Normalising wave in R3
When changing variables to change dx3 to dx just cube entire integral
53
What is this
centre of Gaussian distribution of position
54
What is the wave function of a particle likely to be found at t=0 near x=x_0
55
What is an operator?
Linear map from vector space to self O: V -> V
56
Prove time Unitarian
Using Schrödinger equation at top
57
3 facts about Hermitian operators
1) sum of Hermitian operators is Hermitian 2) product of Hermitian operators is Hermitian 3) all R is Hermitian