What is the formula to convert wavelength from nm to cm-1?

What effect does shielding have on NMR frequency?
Shielding and NMR frequency are inversely proportional (highly deshielded nuclei are shifted to higher chemical shift values).
What is the formula for calculating IR vibration frequency of a bond?

What can an IR peak atr 1670 cm-1 mean?
Either a C=O stretching or OH bending. To distinguish them, we must take into account tht the C=O peak is usually very strong and sharp.
How does a multiplet pattern arise in NMR?
It arises due to magnetic coupling between the spins of protons that are on adjacent carbons in a structure and that are in magnetically non equivalent environments.
Multiplet patterns follow the (n+1) rule, where n is the number of 1H nuclei on the neighbouring carbon.
More detail explanation from lecture notes on how doublets arise:
When proton (a) undergoes its resonance and flips its spin, the other nucleus could be in either “up” or “down” states. These will cause the magnetic field felt by proton (a) to be very slightly different, so two closely spaced NMR lines are observed (i.e., a “doublet” for proton (a), rather than a single line.
The same will happen for the proton (Hb) resonance.
The amount of the splitting will depend on the strength of the magnetic interaction between the two protons : this is the magnitude of the coupling constant (J).
What does an absorption in the UV-vis range correspond to?
Electronic transitions (an electron absorbs energy provided by the electromagentic radiation an jumps from its ground state to a higher energy level).
Usually, for organic compounds these transitions are between pi and pi* M.Os.
What colours do these wavelengths correspond to?
i. 400nm
ii. 500nm
iii. 700nm

True or False:
Longer wavelength = higher energy
False. Wavelength and energy are inversely proportional.
E=h*c/λ
.
What does an IR peak at 3200cm-1 correspond to?
H-bonded OH or NH.
Why does H-bonding lower the IR vibration frequency of OH groups?

Why do NMR signals from protons attached to O or N always appear as broad singlets?
Do O2 and N2 have dipole moments?
No, as they are homonuclear diatomic molecules:
What causes the broadening of an OH NMR peak?
Intermolecular and intramolecular H-bonding + chemical exchange.
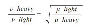
What is the formula for isotopoc substitution?

Small unsaturated hydrocarbons absorb____________.
Entirely in the UV region, λ<400
Non-bonded electrons on a heteroatom give rise to________.
n to pi* transitions in the 200-400nm range, but weaker than the pi to pi* transitions observed in e.g carotene
What is the formula for degrees of unsaturation?
What does this result tell us?
0: no pi bonds, no rings
1: 1 pi bond or 1 ring
etc.

What is the de Broglie relationship?
It expresses the particle-wave duality of light: each “particle” has a pilot wave, termed a photon, with a wavelength related to the mass and particle velocity

What is the Beer-Lambert law?
Also A=log(Io/It)

Equation to convert A to %T?
A= 2 -log%T
What is the Larmor frequency and what is its formula?
When placed in a magnetic field, charged particles will precess about the magnetic field. In NMR, the charged nucleus, will then exhibit precessional motion at a characterisitc frequency known as the Larmor Frequency. The Larmor fequency is specific to each nucleus.

What is the formula for chemical shift?

What is the IR frequency of the C-H stretch in aliphatic hydrocarbons?
How does this value change in unsaturated hydrocarbons?
~3000 cm-1
Unsaturated: shifted to higher frequencies (>3000cm-1)
c = ?
c = λ*v