Sequent Calculus Rules Flashcards

(18 cards)

1
Q

Sequent Calculus - assumption

A
How well did you know this?
1
Not at all
2
3
4
5
Perfectly
2
Q

Sequent Calculus - conjI

A
How well did you know this?
1
Not at all
2
3
4
5
Perfectly
3
Q

Sequent Calculus - conjE

A
How well did you know this?
1
Not at all
2
3
4
5
Perfectly
4
Q

Sequent Calculus - disjI1

A
How well did you know this?
1
Not at all
2
3
4
5
Perfectly
5
Q

Sequent Calculus - disjI2

A
How well did you know this?
1
Not at all
2
3
4
5
Perfectly
6
Q

Sequent Calculus - disjE

A
How well did you know this?
1
Not at all
2
3
4
5
Perfectly
7
Q

Sequent Calculus - impI

A
How well did you know this?
1
Not at all
2
3
4
5
Perfectly
8
Q

Sequent Calculus - impE

A
How well did you know this?
1
Not at all
2
3
4
5
Perfectly
9
Q

Sequent Calculus - FalseE

A
How well did you know this?
1
Not at all
2
3
4
5
Perfectly
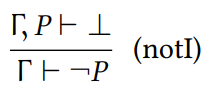
10
Q

Sequent Calculus - notI

A
How well did you know this?
1
Not at all
2
3
4
5
Perfectly
11
Q

Sequent Calculus - notE

A
How well did you know this?
1
Not at all
2
3
4
5
Perfectly
12
Q

Sequent Calculus - excluded_middle

A
How well did you know this?
1
Not at all
2
3
4
5
Perfectly
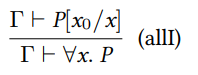
13
Q

Sequent Calculus - allI

A
How well did you know this?
1
Not at all
2
3
4
5
Perfectly
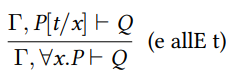
14
Q

Sequent Calculus - allE

A
How well did you know this?
1
Not at all
2
3
4
5
Perfectly
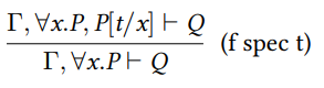
15
Q

Sequent Calculus - spec

A
How well did you know this?
1
Not at all
2
3
4
5
Perfectly
16
Q

Sequent Calculus - exI

17
Q

Sequent Calculus - exE

18
Q

Sequent Calculus - exCIF