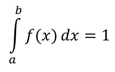
Annotation when you’re told “f(x) is a probability density function”
always write this- it’s often one of the “clues” you use in a question
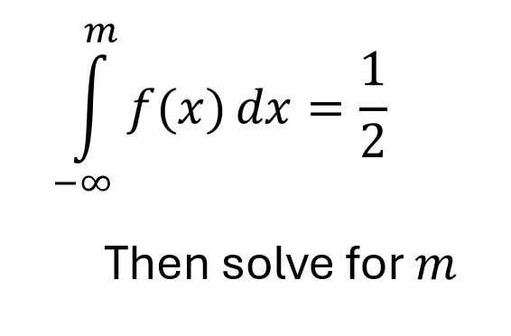
Set up an equation to find the median, m, of a continuous probability density function f(x)
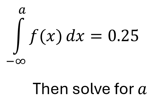
Set up an equation to find the 25th percentile, a, of a continuous probability density function f(x)
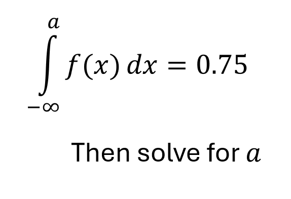
Set up an equation to find the 75th percentile, a, of a continuous probability density function f(x)