Draw the box diagram for a sampled data system

Describe perfect sampling
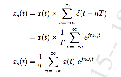
We model the sampled signal as a product of the original signal and an impulse train

What happens if the sampling rate is inadequate?
The spectrum signals overlap and add together, creating a resonance distortion.

In order to prevent aliasing we use the Nyquist Criterion. State it.
To prevent aliasing distortion, a band-limited signal of bandwidth ωm must be sampled at a rate of at least 2ωm rad/s

What is the reconstruction filter and what is its purpose?
It is a low pass filter and is used to remove artifacts from the DAC and also remove the spectral images arising from the sampling process.
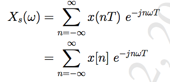
What is the formula for the discrete-time Fourier Transform?

What is the formula for the inverse-DTFT?
