Simplex Method Flashcards

(27 cards)

1
Q
A
How well did you know this?
1
Not at all
2
3
4
5
Perfectly
2
Q
A
How well did you know this?
1
Not at all
2
3
4
5
Perfectly
3
Q
A
How well did you know this?
1
Not at all
2
3
4
5
Perfectly
4
Q

Why might a two stage simplex method be required?

A
How well did you know this?
1
Not at all
2
3
4
5
Perfectly
5
Q

Also write into initial tableaux form

A
How well did you know this?
1
Not at all
2
3
4
5
Perfectly
6
Q

What would happen is one of the constraints were an equality

A

Convert it into two inequalities

How well did you know this?
1
Not at all
2
3
4
5
Perfectly
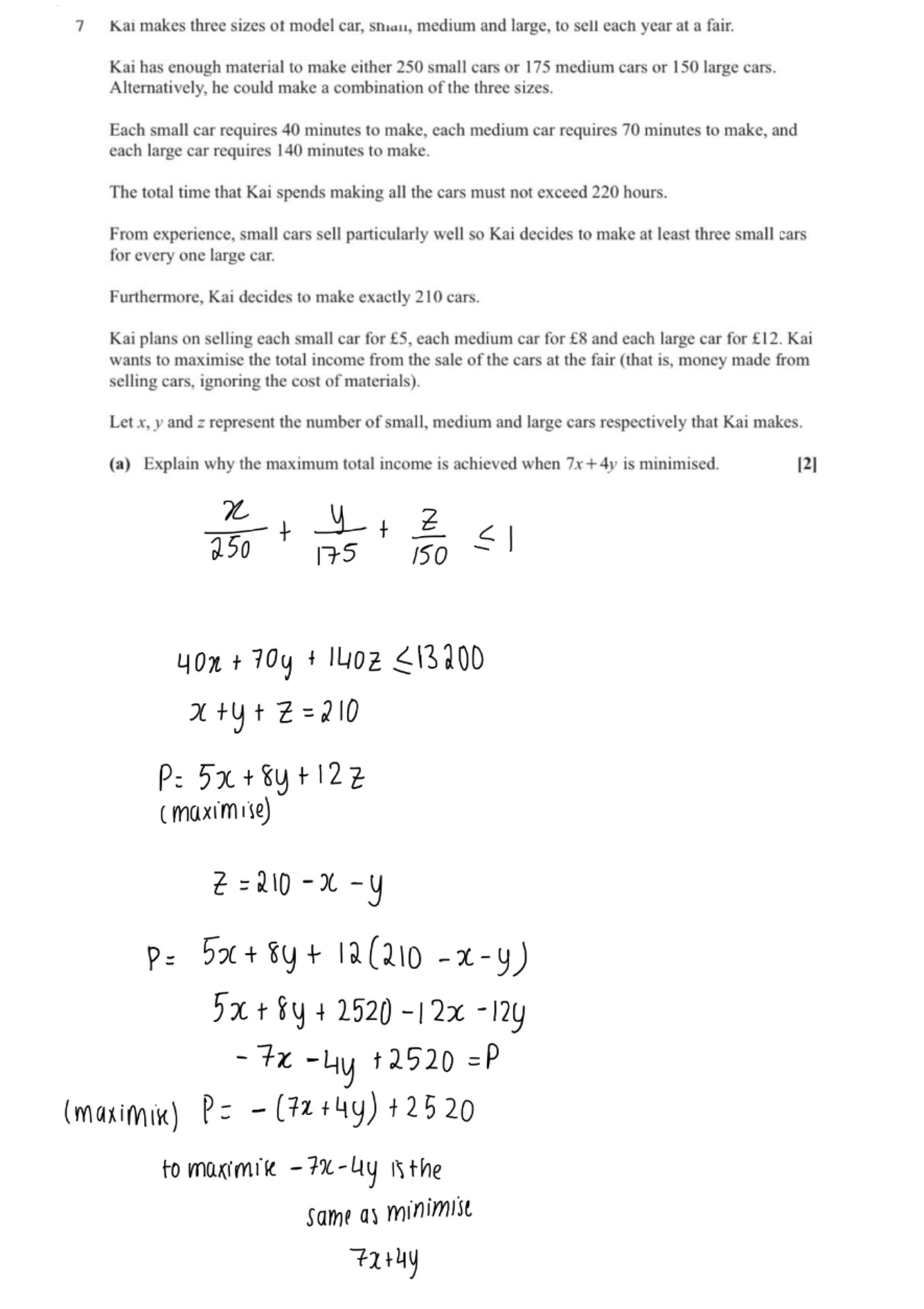
7
Q
A
How well did you know this?
1
Not at all
2
3
4
5
Perfectly
8
Q

what is “standard linear programming form” ?

A

when the problem is formulated in terms of non negative variables as a linear objective to be maximised subject to linear constaints, each of which is less than or equal to a non-negative constant

How well did you know this?
1
Not at all
2
3
4
5
Perfectly
9
Q

what are non basic variables?

A

when at least two of the vraiables in the equation are equal to 0. Including slack variables

How well did you know this?
1
Not at all
2
3
4
5
Perfectly
10
Q

what are basic variables?

A

the value of the other variables when the rest are 0
*P cannot be a basic variable

How well did you know this?
1
Not at all
2
3
4
5
Perfectly
11
Q

what is an integer linear programming problem?

A
  • when the optimal solutuions have integer values

‘with x and y integers’

How well did you know this?
1
Not at all
2
3
4
5
Perfectly
12
Q

what are the steps to choosing a pivot?

A
  1. choose pivot column where the entry in the objcetive row is most negative
  2. do ratio test on this column
  3. choose pivot row of smallest value from the ratio test (not negative)
How well did you know this?
1
Not at all
2
3
4
5
Perfectly
13
Q

How do you carry out an iteration?

A
  1. each entry in pivot row is divided by value of pivot element
  2. the other rows are replaced by

current row ± multiple of pivot row
3. carry on iterations until there are no more negative values in the objective function , then th optimal solution has been found

How well did you know this?
1
Not at all
2
3
4
5
Perfectly
14
Q
A

use subsitution

How well did you know this?
1
Not at all
2
3
4
5
Perfectly
15
Q

when would you have to use two stage simplex method?

A
  • when there is a > = symbo,l
  • the function included minimisng
How well did you know this?
1
Not at all
2
3
4
5
Perfectly
16
Q

what are the steps to two stage simplex method augmented form?

A
  • as usual slack variables are added to <= constraints
  • non negative surplus variable is minus from the >= constraint
  • non negative atricifical variable is also added
  • all the arificial variables then make an objective function which must be minimised
17
Q

what are the steps to minimising iterations?

A
  1. choose the most positive value from the minimised object function row
  2. do ratio test
  3. choose smallest row for pivital row
  4. complete iteration
  5. repeat until there are no more positive values in the minimised objective function row
18
Q
A

The solution is feasible since Q=0. The solution is feasible since there are no non artificial positive numbers in the Q row

25
26
27