Stress in tension and compression
What are the three equations that come to mind after seeing this diagram?


How would you go about after seeing this diagram?


6x = ?

For a rectangular section, I = ?
And draw diagram of where b and d are

What would this diagram represent?


You should be able to calculate M for simple beam structures using ____ conditions such as taking ____ or ____ of _____
You should be able to calculate M for simple beam structures using equilibrium conditions such as taking moments or balance of forces
Where is the Mmax in this diagram?


Where is the Mmax in this diagram?


Where is the most critical location where failure occurs in this diagram?


How would you go about labelling this diagram?


Write down and define all the equations for a driagram like this


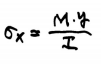
What is the main equation to do with a diagram like this?
And define all letters


Shear stress always comes as a…?
…set
What does this picture represent?

The stress state

What equations would you have to use for the possibility of combined bending and shear?

What would the diagram for stresses in thin walled vessels look like?

What equations would be used for a stresses in a thin-walled pressure vessel?

What is this also equal too?

