To find HJ, what must we must we do?

We must find half the value of HJ and then multiply the answer by 2
Find HJ

We must find half the value of HJ and then multiply the answer by 2

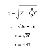
To find x, what must we must we do?

We must divide the length 8 by 2, and then find x
Find x correct to 3 significant figures

We must divide the length 8 by 2, and then find the x

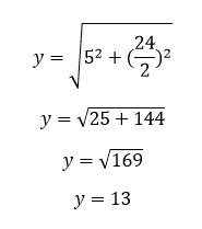
To find y, what must we must we do?

We must divide the length 24 by 2, and then find y
Find y

We must divide the length 24 by 2, and then find y

Which side must we find first
a or c?

We must find a first, then use the answer to find c
Which side must we find first
b or c?

We must find c first, then use the answer to find b