Special Relativity Flashcards

Apply Lorentz transformations and relativistic concepts to analyze time, space, energy, and momentum at high velocities. (48 cards)

1
Q

What is the main difference between general relativity and special relativity?

A

Special relativity applies only to inertial frames and excludes gravity, while general relativity extends the principles to accelerated frames and includes gravitational effects via curved spacetime.

Einstein’s 1915 general theory redefined gravity in terms of the curvature of spacetime caused by mass and energy.

How well did you know this?
1
Not at all
2
3
4
5
Perfectly
2
Q

Explain the implications of the postulate that states the speed of light in a vacuum is constant for all observers, regardless of their motion relative to the light source.

A
  • The postulate directly leads to the Lorentz transformations.
  • These imply the existence of spacetime, so that space and time are fundamentally linked with each other.
  • This replaces classical Galilean transformations.

The constancy of light speed implies that time and space must adjust to preserve this invariant speed across all inertial frames. This leads to observable effects such as time dilation, length contraction, and the relativity of simultaneity.

It also ensures that Maxwell’s equations (and all physical laws) remain valid in all inertial reference frames, resolving contradictions between classical mechanics and electromagnetism and laying the foundation for special relativity.

How well did you know this?
1
Not at all
2
3
4
5
Perfectly
3
Q

Explain how simultaneity is affected by the relative motion of observers according to the theory of special relativity.

A

In special relativity, simultaneity is relative and depends on the observer’s frame of reference.

Two events that are simultaneous in one inertial frame may not be simultaneous in another frame moving relative to the first. Suppose that we have two events in one frame that are spatially separated. Then Δt = 0 while Δx is not. It follows immediately from Δt′ = γ · (Δt − v Δx / c²) that Δt′ is not zero.

How well did you know this?
1
Not at all
2
3
4
5
Perfectly
4
Q

True or False:

If, in one frame, two events take place at the same location and are simultaneous, they are simultaneous in every other inertial reference frame.

A

True

This follows from Δt′ = γ · (Δt − v Δx / c²) with Δx = 0 and Δt = 0.

How well did you know this?
1
Not at all
2
3
4
5
Perfectly
5
Q

Write down the Lorentz transformations.

A
  • x′ = γ (x − vt)
  • t′ = γ (t − vx / c²)
  • y′ = y
  • z′ = z

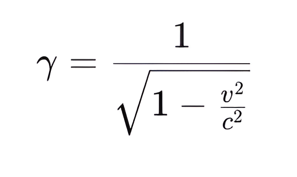
Remember that γ = 1 / √(1 − v² / c²).

We have set up axes such that motion is taking place along the x-axis. The inverse transformation are obtained simply by swapping the primed and unprimed quantities, and flipping the sign of v.

How well did you know this?
1
Not at all
2
3
4
5
Perfectly
6
Q

True or False:

In special relativity, the spacetime interval is invariant. (assuming motion is taking place along the x-axis).

A

True

This follows from the Lorentz transformations for intervals.

  • Δx′ = γ · (Δx − v Δt)
  • Δt′ = γ · (Δt − v Δx / c²)

Simple algebra leads to (Δs’)2 = c2 (Δt)2 - (Δx)2 = (Δs)2.

Due to the minus sign, this means that the geometry of spacetime is non-Euclidean.

How well did you know this?
1
Not at all
2
3
4
5
Perfectly
7
Q

Fill in the blank:

The relativistic energy-momentum relation is expressed as ______, where ( E ) is the total energy, ( p ) is the momentum, and ( m ) is the mass.

A

This relation underscores the equivalence of mass and energy and provides a means to calculate the energy of a particle moving at relativistic speeds.

How well did you know this?
1
Not at all
2
3
4
5
Perfectly
8
Q

Consider an observer with a stationary (in his frame) clock. The time interval between two ticks of the clock as measured by this observer is Δt.

What is this time interval as measured by a second observer moving with velocity v with respect to the first observer?

A
  • This is time dilation.
  • The time interval between the ticks of the clock as measured by the first observer is the proper time. The two events (the first tick and the second tick) take place at the same location for this observer. So Δx = 0.
  • It follows then from the Lorentz transformations that Δt’ = γΔt.
  • Since γ > 1 (remember that γ depends on v), we have time dilation: moving clocks run slow.

Time dilation has been confirmed by numerous experiments, such as those involving high-speed particles and atomic clocks in jets.

How well did you know this?
1
Not at all
2
3
4
5
Perfectly
9
Q

True or False:

Time dilation effects become negligible at velocities much less than the speed of light.

A

True

At speeds much slower than the speed of light, ( v ≪ c ), the Lorentz factor γ is approximately equal to one, meaning time dilation is not significant.

How well did you know this?
1
Not at all
2
3
4
5
Perfectly
10
Q

An astronaut travels to a star system 5 light-years away (as measured in Earth’s frame) at a constant speed of 0.6c.

According to the astronaut’s clock, how much time elapses during the trip?

A

There are two events: the astronaut leaves the Earth, and the astronaut arrives at the star system. Both events take place at the same location in the reference frame of the astronaut. So the astronaut measures the proper time.

In the reference frame of the Earth, the time interval is Δt’ = (5 ly)/(0.6c).

How well did you know this?
1
Not at all
2
3
4
5
Perfectly
11
Q

Fill in the blank:

As velocity approaches the speed of light the Lorentz factor approaches ______.

Assume motion in an inertial frame and speeds approaching c, the speed of light in a vacuum.

A

infinity

As v approaches the speed of light, the denominator approaches zero, causing γ to approach infinity.

The Lorentz factor, also called the time dilation factor, increases rapidly as velocity approaches the speed of light, illustrating how relativistic effects dominate at high speeds.

How well did you know this?
1
Not at all
2
3
4
5
Perfectly
12
Q

Analyze the implications of time dilation for high-speed particle decay experiments.

A
  • Particles moving at relativistic speeds exhibit longer decay times from the lab frame perspective.
  • Experimental confirmation of time dilation: muon decay in the atmosphere and particle accelerators.
  • Necessitates relativistic corrections in experimental physics.

Time dilation is crucial for accurately describing the behavior of fast-moving particles, aligning experimental observations with theoretical predictions. When the value of the lifetime of a particle is quoted, it is understood that this is the time taken (on average) by the particle to decay in its rest frame. The time taken by the particle to decay in the lab frame will be longer (how much longer depends on the speed of the particle).

How well did you know this?
1
Not at all
2
3
4
5
Perfectly
13
Q

Consider two twins. One of them remains on Earth, while the other travels on a spaceship to a distant planet and then comes back to Earth. According to the twin on Earth, the age of the traveling twin is now smaller due to time dilation.

However, if we analyze the situation in the frame of the traveling twin, it is the twin on Earth who was moving, so the age of the twin on Earth should be smaller.

We have a paradox. What is the resolution?

A

The traveling twin is younger.

This conclusion is clear if we analyze the situation in the Earth frame. We cannot analyze the situation from the viewpoint of the traveling twin in a straightforward manner - even if the speed of the spaceship is constant, this twin is in a non-inertial frame since the spaceship reverses direction.

To analyze the situation from the traveling twin’s perspective, we must consider two separate inertial frames: one for the outbound journey and another for the return. The traveling twin transitions from the first frame to the second. If we take this transition into account, we do find that the traveling twin is younger.

The twin paradox highlights the non-intuitive consequences of time dilation and the role of inertial vs. non-inertial frames in special relativity.

How well did you know this?
1
Not at all
2
3
4
5
Perfectly
14
Q

Maria and Anna are twins and are 30 years old. Maria sets out on a round trip to the star Sirius, located 8.7 light years from Earth, at a speed of 0.95 c. What are the twins’ ages upon reunion?

A
  • Ana is 48.3 years
  • Maria is 35.7 years

  • The total round trip takes (2 x 8.7)/0.95 = 18.32 years in the Earth frame, so Ana’s age is 48.3 years.
  • The journey from Earth to Sirius takes 9.16 years in the Earth frame.
  • The two events (Maria leaving Earth and Maria arriving at Sirius) occur at the same location for Maria (so Maria measures the proper time).
  • The time taken by Maria to reach Sirius then is 9.16/γ = 2.86 years.
  • The total time taken for Maria is 5.72 years. So Maria’s age will be 35.7 years.

How well did you know this?
1
Not at all
2
3
4
5
Perfectly
15
Q

The half-life of a pion moving at high speed turns out to be 60 ns, while its half-life at rest is 26 ns.

What is its speed?

A

v ≈ 0.9c

Use τ=τ₀/√(1-v²/c²) to solve for v. The proper time is 26 ns.

How well did you know this?
1
Not at all
2
3
4
5
Perfectly
16
Q

What is length contraction?

A

The phenomenon in special relativity where the length of an object measured in a frame where it is moving is shorter than its proper length L0 (the length in its rest frame).

The relationship is given by L = L₀ / γ, where γ = 1 / √(1 − v² / c²) is the Lorentz factor, and v is the relative velocity between the observer and the object.

How well did you know this?
1
Not at all
2
3
4
5
Perfectly
17
Q

True or False:

Consider a stationary observer on a train station and another observer in a moving train (moving with respect to the observer on the train station).

According to the observer on the train station, objects in the train are Lorentz contracted, while according to observer on the train, object on the train station are Lorentz contracted.

Assume both observers are in inertial frames and applying special relativity.

A

True

This follows from the first postulate of special relativity that says that all inertial reference frames are equivalent. There is no paradox here (although it may seem so at first glance). For an object’s length to be measured, the positions of its ends need to be measured at the same time.

When such a measurement is done by one observer, the other observer thinks that the positions were not measured at the same time, and vice versa.

How well did you know this?
1
Not at all
2
3
4
5
Perfectly
18
Q

Fill in the blanks:

In the context of length contraction, the length measured in the rest frame of the object is known as the ______ ______.

A

Proper length

The proper length is always the longest measurement of an object’s length, as it is measured in the frame where the object is at rest.

How well did you know this?
1
Not at all
2
3
4
5
Perfectly
19
Q

Discuss the implications of length contraction on the concept of rigid bodies in classical physics.

A
  • In classical physics, a rigid body is an object whose shape and size do not change, regardless of motion or applied forces.
  • Length contraction implies that no perfectly rigid bodies exist in relativity, as objects deform under motion.
  • The length parallel to the motion gets shortened, while the transverse lengths do not.
  • This length contraction is frame-dependent - different observers moving at different velocities will measure different shapes of the object.
  • Consequently, in relativistic physics, since perfect rigidity is impossible, bodies are modeled as elastic or deformable, with internal forces propagating at finite speeds.

These insights lead to a deeper understanding of material properties in relativistic contexts.

How well did you know this?
1
Not at all
2
3
4
5
Perfectly
20
Q

Two identical spaceships, connected by a string, are initially at rest in an inertial frame. They then accelerate identically in this frame.

Will the string break?

A

Yes

Their separation remains constant in this frame (where they are initially at rest) since at any instant of time, they have the same velocity. However, the string is Lorentz contracted. This means that the string will eventually break.

On the other hand, in the frame where the spaceships are momentarily at rest, the distance between the spaceships increases because the accelerations of the spaceships are not simultaneous. Therefore, according to this frame too, the string eventually breaks.

This is known as the Bell spaceship paradox.

21
Q

A ladder of proper length longer than a garage is moving (in the inertial frame where the garage is at rest) so fast that the Lorentz contracted length is smaller than the length of the garage.

The ladder then appears to fit inside the garage. But in the ladder’s frame, it is the garage that is shorter.

What resolves this apparent paradox?

Assume both garage and ladder are inertial and rigid, and that we are applying special relativity only.

A

There is no paradox.

In the rest frame of the garage, the ladder is Lorentz contracted and therefore fits entirely within the garage at a single instant—both ends are simultaneously inside. However, in the rest frame of the ladder, it is the garage that is contracted and appears too short to contain the ladder.

The resolution lies in the relativity of simultaneity: events that are simultaneous in one frame are not necessarily simultaneous in another. In the ladder’s frame, the front and back of the ladder are not inside the garage at the same time. Thus, there is no contradiction—both perspectives are consistent within the framework of special relativity.

Simultaneity is frame-dependent, resolving the paradox.

22
Q

Why did Maxwell’s equations lead to the need for special relativity?

A

Maxwell’s equations change form under Galilean transformations. This meant that the laws of electromagnetism are not the same for all inertial frames (under Galilean transformations).

In particular, the speed of light (whose value can be found from Maxwell’s equation) would be different in different inertial frames - perhaps there was a special frame in which the speed of light was equal to the value predicted by Maxwell’s equation (the ether frame).

Einstein proposed that this cannot be so - all physical laws are the same for all physical observables. Space and time transform according to Lorentz transformations (which reduce to Galilean transformations at low speeds), and under Lorentz transformations, Maxwell’s equations are the same for different inertial frames.

The failure to detect the ether in experiments like the Michelson-Morley experiment reinforced this shift.

23
Q

Derive the condition under which two events are simultaneous for an observer moving with velocity ( v ) relative to another observer.

A

For two events to be simultaneous in the moving observer’s frame, the time difference Δ t’ between the events must be zero.

Using Lorentz transformations:

Δt’ = γ( Δt - (v Δx)/(c^2) = 0

Solving for Δt, we find:
Δt = (v Δx)/(c^2)

Two events that are not simultaneous in one frame can be simultaneous in another frame.

24
Q

True or False:

For two events such that (Δs)2 = (cΔt)2 - (Δx)2 > 0, the temporal order of the two events depends on the reference frame.

A

False

If the spacetime interval between two events is timelike, that means they can be causally connected, one could potentially influence the other. Now, if one observer sees the first event happen before the second, the question is whether another observer (in a different inertial frame) could see the reverse order.

Using the Lorentz transformation, we find that reversing the time order would require a relative speed faster than the speed of light. Since that’s impossible, the order of timelike events is the same in all reference frames, causality is preserved.

For spacelike separated events where (Δs)2 < 0), their order can appear different to different observers.

25
What is a **Minkowski space-time diagram**?
A graphical representation used in special relativity to **visualize how events occur in space and time** from the perspective of different observers. ## Footnote The vertical axis represents time (usually labeled as ct, where c is the speed of light and t is time), while the horizontal axis represents space (usually labeled as x). The path that an object takes through space-time is plotted on this diagram, and this is referred to as the worldline. Minkowski space-time diagrams are very useful to visualize different effects in special relativity such as relativity of simultaneity, time dilation, and length contraction.
26
In a Minkowski space-time diagram, what would be the **worldline** for a stationary object? What would be the worldline for a photon?
* The worldline for a **stationary object is a vertical line,** as such an object 'travels' through time but not space. * The **worldline for a photon would make an angle of 45 degrees with the horizontal axis** (the axis showing space) because the photon obeys x = ct.
27
How do the **spacetime axes** (𝑥',𝑐𝑡') of a moving frame 𝑆' relate to those of a stationary frame S when plotted on a spacetime diagram? ## Footnote Describe what the axes would look like.
## Footnote * The primed axes are tilted. Use the Lorentz transformations x = γ (x′ + v t′) and t = γ (t′ + (v x′) / c²). * For the x' axis, t' = 0. Then x = γx' and t = γvx'/c² = vx/c². So ct = (v/c)x. * The slope of the x' axis is v/c. * Similarly, for the ct' axis, set x' = 0. Then x = γvt' and t = γt', which means that ct = (c/v)x. * So the slope of the ct' axis is (c/v). * Two events lying on a line parallel to the ct' axis are simultaneous.
28
Show the **relativity of simultaneity** using a Minkowski space-time diagram.
## Footnote Events A and B are simultaneous in S (same value of t). However, they are not simultaneous in S' since they have different values of t' (see points C and D).
29
# Fill in the blank: The **relativistic momentum** of a particle is given by p=γmu, where γ is equal to \_\_\_\_\_\_.
## Footnote γ is the usual Lorentz factor, but it now contains u (the speed in the frame in which we are measuring the relativistic momentum). At low speeds such that u / c ≪ 1, γ is approximately one, so we recover the usual expression for linear momentum from classical physics.
30
Suppose we have a particle of mass m and speed v, with v close to the speed of light. How would we find the **kinetic energy of this particle**?
## Footnote For smaller v such that v / c ≪ 1, the expression for the kinetic energy approaches the usual kinetic energy (1/2)mv² from classical physics.
31
What is the difference between an **invariant** quantity and a **conserved** quantity?
* **Invariant quantities** are those that have the same value in all inertial frames. * **Conserved quantities** are those whose value does not change. ## Footnote Physical quantities can be invariant but not conserved (for example, mass), conserved but not invariant (for example, energy), both conserved and invariant (for example, electric charge), or neither conserved nor invariant (for example, velocity of an object). Mass is taken to be an invariant in modern physics. Older books consider the idea of 'relativistic mass'; this has fallen out of fashion. Instead of saying that the mass changes with changing speed, we simply say that the energy changes.
32
How does the **relativistic Doppler** effect differ from the classical Doppler effect?
It accounts for **time dilation** besides the motion of the observer, modifying the frequency shift formula. ## Footnote This is in **contrast to the classical Doppler effect**, which does not consider relativistic time dilation, leading to discrepancies at high velocities. The expression given assumes that (in the source's rest frame) the observer is moving away from the source; if the observer is moving towards the source, simply flip the sign of v.
33
# Define: a four-vector
A mathematical object in relativistic physics that has **four components and transforms linearly under Lorentz transformations**: ## Footnote If we have an equation saying that an ordinary three-dimensional vector equals another vector, we can be sure that this relationship is true in any rotated frame as well since both sides will transform in the same way under rotations. Similarly, if we have one four-vector equal to another four-vector, we know that this relationship will be true in any inertial frame since both sides will transform in the same way.
34
Given two four-vectors, how do we calculate the **scalar product** using the Minkowski metric?
For 2 four-vectors, Aμ and Bν, the scalar product is defined as **AμgμνBν** ## Footnote The Minkowski metric is a tensor gμν, whose elements are defined by a diagonal matrix with the top-left entry +1 and the other three -1. This scalar product remains invariant under Lorentz transformations. An equivalent choice of the Minkowski metric is to use -1 for the top left entry and +1 for the other three.
35
Consider the position four-vector joining two events. How is the **scalar product** of this vector with itself related to the proper time?
It equals c2τ2, where τ is the proper time. ## Footnote The scalar product of a spacetime displacement with itself gives the spacetime interval, which is Lorentz invariant. This is relevant in the frame where both events occur at the same location. Note that if we choose the Minkowski metric with signature (- + + +), we get -c2τ2.
36
# Fill in the blanks: The **four-velocity uμ** is defined as the derivative of the \_\_\_\_\_\_ \_\_\_\_\_\_-\_\_\_\_\_\_ with respect to proper time.
position four-vector ## Footnote Proper time is invariant under Lorentz transformations, while the position four vector transforms (of course!) like a four-vector. The result is that the derivative of the four-vector with respect to the proper time transforms like a four-vector. The four-velocity is tangent to the worldline of a particle (the worldline of a particle is the path it traces through spacetime as it moves).
37
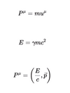
How is the **momentum four-vector Pμ constructed**, and why is its magnitude invariant?
## Footnote * Multiply the mass (which is invariant) with the four-velocity vector. * We are guaranteed to get a four vector. * Now, we realize that the temporal component of this vector is simply the relativistic energy divided by c. Its magnitude is invariant because the magnitude is given by the scalar product of this four vector with itself (and scalar products are invariant). Four-vectors transform under Lorentz transformations; their Minkowski norm is invariant.
38
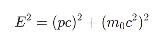
What is the **scalar product of the momentum four-vector** with itself?
## Footnote In the rest frame of the particle, E = mc2 and p = 0. Then, the scalar product is m2 c2. This is invariant, of course. Since the two equations are equivalent, this can be rearranged to give E2 = p2 c2 + m2 c4.
39
What is the **physical significance** of the momentum four-vector?
For any inertial frame, the **total momentum** four-vector of a closed system is **conserved.** ## Footnote This is an experimental fact. For example, for a collision, the momentum four-vector before a collision is equal to the four-momentum after the collision. Both sides of the equation momentum four-vector before = momentum four-vector after **have** to be four-vectors - this ensures that both sides transform in the same way under Lorentz transformations, making this law valid for all inertial frames.
40
A particle's kinetic energy is N times its rest energy. **What is its speed?**
## Footnote * Rest energy is E0 = mc2 * Kinetic energy is (γ-1)mc2 * Ratio of kinetic to rest is γ-1 * Solve for v
41
# True or False: The **Lorentz transformation reduces to the Galilean transformation** at low velocities relative to the speed of light.
True ## Footnote At velocities much smaller than the speed of light (v ≪ c), the Lorentz factor γ is approximately 1.
42
How do you calculate the velocity of an object in one frame if you know its velocity in another frame moving at speed v relative to the first?
Use the **relativistic velocity addition** formula. ## Footnote This formula ensures that the resultant velocity never exceeds the speed of light ( c ), maintaining consistency with the theory of special relativity.
43
If a spaceship fires a missile while moving at high speed, **why can't we simply subtract or add their speeds** using ordinary (non-relativistic) rules?
At speeds close to the speed of light, we must use **relativistic velocity addition** to avoid exceeding c. ## Footnote This prevents speeds from exceeding c, which is what would result from simple addition or subtraction. Note that this velocity does not transform like a four-vector, as we are not using the proper time).
44
The hydrogen lines in the **quasar 3C9** are observed at 3 times their rest wavelength. How would you **determine the quasar’s speed relative** to Earth?
Use the **relativistic Doppler shift formula** for redshift. ## Footnote The wavelength is longer than the rest wavelength. The change in wavelength tells you how fast the source is moving away, and you can solve for velocity using the redshift ratio and the Doppler equation.
45
At what speed is a particle’s total energy 10% more than its **rest energy**?
## Footnote Solve from E=γmc²=1.1mc² .
46
A pion with rest **energy 135 MeV** moves at 0.85c. How would you calculate its total energy?
1. Use the formula E = γmc2, where γ depends on the pion's speed. 2. Multiply the rest energy by γ to get the total energy. ## Footnote Total energy is the **product of γ and rest mass energy**.
47
Light enters a region with a very strong gravitational field. What happens to the **frequency of light**?
The frequency of the light **increases**. ## Footnote This is a consequence of gravitational time dilation, a result from general relativity. A simple explanation (albeit ignoring various subtleties) is that the frequency increases due to the gain in energy of the photons as they fall into the gravitational potential well. It can also be understood in terms of the equivalence principle.
48
# True or False: The path that light follows as it passes near a star is **curved**.
True ## Footnote This is one of the most famous predictions of general relativity and is known as gravitational lensing. It has also been observed (most famously during a 1919 solar eclipse). Newton's law of gravitation predicts no deviation since the mass of a photon is zero. The explanation is simple. Light always travels in a straight line locally in spacetime. Now, due to the star, spacetime becomes curved. In curved spacetime, the 'straight line' becomes a geodesic (straightest possible path), which appears curved when viewed from a distance or in flat space coordinates. Consequently, as light passes near a star, its path bends, not because the light is accelerating in the Newtonian sense, but because spacetime itself is curved.