Time Dilation

Relativistic Momentum

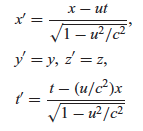
Lorentz Transformation

Clock Synchronization

Rest Energy

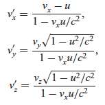
Lorentz Velocity Transformation

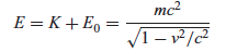
Relativistic Total Energy

Length Contraction

Relativistic Kinetic Energy

Conservation Laws
In an isolated system of particles, the total momentum and the relativistic total energy remain constant.
Extreme Relativistic Approximation

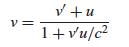
Velocity Addition

Momentum-Energy Relationship

Einstein’s Postulates
1 Joule = ? eV
6.24x1018eV