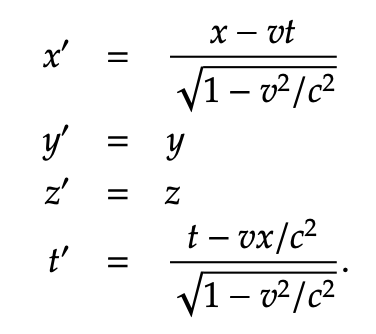
Give the equations for the Lorentz transformations

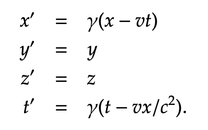
Give the equations for the Lorentz transformations in terms of γ

Give the inverse Lorentz equation’s matrix

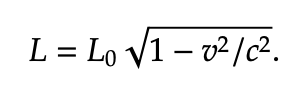
Give the equation for L, the length of a moving object moving along an axis

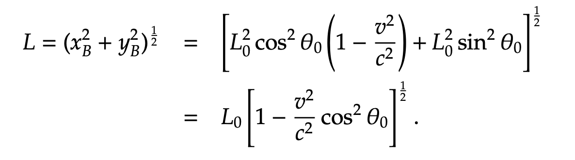
Give an equation for L, the length of a moving object which is moving at an angle to the x-axis

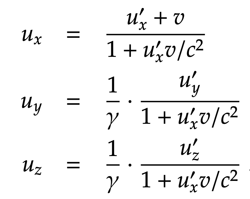
Give the equations relating the velocity of an object observed in two systems
Note that x,y,z and t can be swapped for x’,y’,z’ and t’ and the velocity’s sign changed for the transformations the opposite way.

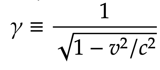
Define γ, The Lorentz factor

Give the equation for T1, the time between the arrival of pulses at the observer
Note that T0 is the time interval between pulses

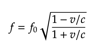
Give the equation for f, the frequency of light received by the observer
Note that f0 is 1/T0

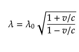
Give the equation for λ, the wavelength of the source seen by the observer
Note that λ0 = c/f0

Give the frequency of a source if the source is moving perpendicular to the line between it and the observer

Give the relativistic expression for momentum

Give the relativistic equation for kinetic energy

Express the formula for total energy in terms of momentum

State the energy-momentum four-vector

Give the equation for energy for a massless particle
Note: for E and p to both not equal zero, the particle must be travelling at the speed of light

State the rest energy of a stationary body
mc2