Speed Flashcards

(27 cards)

1
Q

What is the standard unit for speed?

A

The standard unit for speed is metres per second (m/s).

How well did you know this?
1
Not at all
2
3
4
5
Perfectly
2
Q

What does “metres per second” mean in terms of speed?

A

“Metres per second” means the number of metres travelled in each second.

How well did you know this?
1
Not at all
2
3
4
5
Perfectly
3
Q

How is speed written in unit form?

A

Speed is written as m/s.

How well did you know this?
1
Not at all
2
3
4
5
Perfectly
4
Q

How do you calculate speed?

A
How well did you know this?
1
Not at all
2
3
4
5
Perfectly
5
Q

A bus travels 100 m in 20 s. What is its speed?

A
How well did you know this?
1
Not at all
2
3
4
5
Perfectly
6
Q

What is average speed?

A

Average speed is the total distance travelled divided by the total time taken, used when the speed of an object changes during a journey.

How well did you know this?
1
Not at all
2
3
4
5
Perfectly
7
Q

What does “constant speed” mean?

A

Constant speed means that the speed is not changing over time.

How well did you know this?
1
Not at all
2
3
4
5
Perfectly
8
Q

How can the speed formula be used in different calculations?

A

The speed formula can also be used to calculate:

•	The distance travelled, if you know the speed and time taken.
•	The time taken, if you know the speed and the distance travelled.
How well did you know this?
1
Not at all
2
3
4
5
Perfectly
9
Q

What are the formulas for speed, distance, and time using the formula triangle?

A

• Speed = Distance / Time
• Distance = Speed × Time
• Time = Distance / Speed

How well did you know this?
1
Not at all
2
3
4
5
Perfectly
10
Q

Marcus rides his bicycle at a speed of 4 m/s for 60 seconds. How far does he go?

A
How well did you know this?
1
Not at all
2
3
4
5
Perfectly
11
Q

Sofia is in a car traveling at a speed of 35 m/s. How long will it take the car to travel 2100 m?

A
How well did you know this?
1
Not at all
2
3
4
5
Perfectly
12
Q

An aeroplane travels 2500 km in a time of 5 hours. What is the speed of the aeroplane in km/h?

A
How well did you know this?
1
Not at all
2
3
4
5
Perfectly
13
Q

What units are used in the worked examples provided?

A

The worked examples use metres (m), seconds (s), and metres per second (m/s), but values can also be given in different units such as kilometres (km) and hours (h).

How well did you know this?
1
Not at all
2
3
4
5
Perfectly
14
Q

How do you convert speed to different units like km/h?

A

To convert speed to km/h, divide the distance in kilometres by the time in hours.

How well did you know this?
1
Not at all
2
3
4
5
Perfectly
15
Q

Write an equation for speed, when you know the distance travelled and the time taken.

A
How well did you know this?
1
Not at all
2
3
4
5
Perfectly
16
Q

What is the standard scientific unit of speed?

A

The standard unit of speed is metres per second (m/s).

17
Q

Write an equation for distance travelled, when you know the speed and the time taken.

18
Q

Write an equation for time taken, when you know the speed and the distance.

19
Q

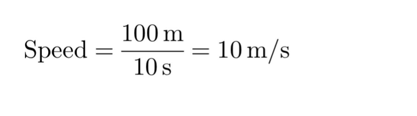
An Olympic sprinter completes the 100 m race in a time of 10 s. Calculate the average speed of the sprinter.

20
Q

Explain why this value is an average speed.

A

This value is an average speed because it assumes a constant speed over the entire distance, without considering any acceleration or deceleration.

21
Q

A car travels a distance of 210 m in a time of 6 s. Calculate the speed of the car in m/s.

22
Q

Calculate the distance travelled by the car in 14 s, if the speed is constant.

23
Q

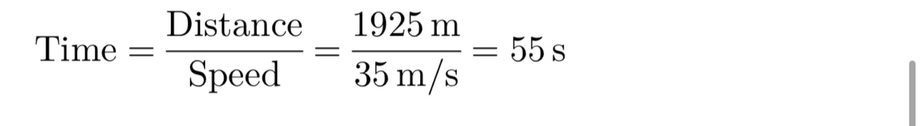
Calculate the time taken, in seconds, for the car to travel a distance of 1925 m.

24
Q

An aeroplane flies between two cities that are 8100 km apart. It takes 9 hours to complete the journey. Calculate the average speed in km/h.

25
A different aeroplane can fly at 800 km/h. Calculate the distance this aeroplane could fly in 6 hours.
26
Another aeroplane can fly at 950 km/h. Calculate the time taken, in hours, for this aeroplane to travel a distance of 7125 km.
27
Anna sees a worm move a distance of 3 m in 2 hours. Calculate the average speed of the worm in metres per hour.