Statistical analysis Flashcards

(25 cards)

1
Q

Technical/analytical evaluations to be performed when a new test is to be introduced to the routine lab

A
  1. Estimation of assay imprecision
  2. Comparison of new vs old assay
  3. Assessment of allowable measurement range - estimation of upper and lower limits of quantification
  4. Evaluation of interferences and carry over if applicable
  5. Assess whether it meets lab accreditation requirements and/or other regulatory standards.
How well did you know this?
1
Not at all
2
3
4
5
Perfectly
2
Q

Define CVa

A

Analytical coefficient of variation

How well did you know this?
1
Not at all
2
3
4
5
Perfectly
3
Q

Define CVg

A

Between subject coefficient of variation

How well did you know this?
1
Not at all
2
3
4
5
Perfectly
4
Q

Define CVi

A

Within-subject coefficient of variation

How well did you know this?
1
Not at all
2
3
4
5
Perfectly
5
Q

Define CVrb

A

Sample-related random bias coefficient of variation

How well did you know this?
1
Not at all
2
3
4
5
Perfectly
6
Q

Two types of biological variation?

A

Within subject and between subject

How well did you know this?
1
Not at all
2
3
4
5
Perfectly
7
Q

What is within-subject variation?

A

Random fluctuations around a homeostatic point

How well did you know this?
1
Not at all
2
3
4
5
Perfectly
8
Q

How is biological variation determined?

A

Using a biological variation study

How well did you know this?
1
Not at all
2
3
4
5
Perfectly
9
Q

How is a biological variation study performed?

A

Recruit study subjects
Take serial samples at intervals consistent with the intended use of the tests
Analyse the samples in duplicate
Perform an Analysis of Variance (ANOVA)

How well did you know this?
1
Not at all
2
3
4
5
Perfectly
10
Q

Variations that affect the test results of an individual person over time?

A
  1. Pre-analytical variation (CVp)
  2. Analytical variation (CVa)
  3. Within subject variation (CVi)
How well did you know this?
1
Not at all
2
3
4
5
Perfectly
10
Q

Variations that affect the test results of an individual person over time?

A
  1. Pre-analytical variation (CVp)
  2. Analytical variation (CVa)
  3. Within subject variation (CVi)
How well did you know this?
1
Not at all
2
3
4
5
Perfectly
11
Q

What is pre-analytical variation?

A

Variation due to differences in patient preparation between tests, sample collection and conditions that the collected sample experiences after collection but prior to measurement itself

How well did you know this?
1
Not at all
2
3
4
5
Perfectly
12
Q

What is reference change value?

A

Helps us understand if the change in a patient’s serial result is statisically significant. Determined from Z-score, CVa and CVi. Assumes CVp negligible.

How well did you know this?
1
Not at all
2
3
4
5
Perfectly
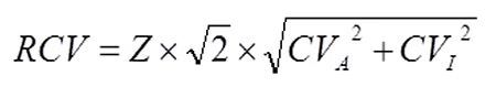
13
Q

Formula for RCV

A
How well did you know this?
1
Not at all
2
3
4
5
Perfectly
14
Q

Formula for index of individuality

A

CVi/CVg

How well did you know this?
1
Not at all
2
3
4
5
Perfectly
15
Q

What is the index of individuality used for?

A

Determining if population based reference intervals are useful for a patient. If the II is <0.6, population based reference intervals are not useful (within subject variation is very low and a change within the reference interval may still be significant). If the II is >1.4 then population based reference intervals are helpful.

16
Q

The index of individuality for troponin I is 0.29. What is the implication of this for interpreting troponin I results?

A

The low index of individuality means that within an individual, troponin levels do not show much fluctuation. The utility of population based reference intervals for determining the significance of a troponin I value is low. Instead, serial measurements will be of importance to determine if a change is significant or not.

17
Q

How is total method error calculated?

A

From bias and standard deviation established by method comparison experiments. TME = Bias + 1.65SD

18
Q

How are total allowable error goals determined

A

Legal criteria
Targets set by providers of proficiency testing/EQA schemes
Using biological variation data

19
Q

How is CV calculated?

A

CV% = SD/Mean x 100%

20
Q

Biological variation database provided by?

A

European Federation of Clinical Chemistry and Laboratory Medicine

21
Q

How should desirable imprecision (CVa) be calculated?

A

Less than 0.5CVi

22
Q

How should desirable bias be calculated?

A

Bias should be less than 0.25 total biological variation

23
Q

How is total biological variation calculated?

A

Square root of (CVi^2 +CVg^2)

24
How is total allowable error calculated?
TME + Bias = 1.65ximprecision goal + bias goal = 1.65 x 0.5CVi + SqRt(CVi^2+CVg^2)