statistical tests Flashcards

(23 cards)

1
Q

test for associations between measurements

A

spearman’s rank correlation

How well did you know this?
1
Not at all
2
3
4
5
Perfectly
2
Q

test for frequencies (number of individuals in categories)

A

chi-squared

How well did you know this?
1
Not at all
2
3
4
5
Perfectly
2
Q

test for differences between measurements

A

student’s t-test

How well did you know this?
1
Not at all
2
3
4
5
Perfectly
3
Q

what is the null hypothesis for spearman’s rank correlation

A

no correlation between … and …

How well did you know this?
1
Not at all
2
3
4
5
Perfectly
4
Q

how to calculate spearman’s rank correlation

A

1 assign ranks from lowest to highest
2 tied values will share ranks + be given average
3 calculate difference in rankings
4 square each difference
5 calculate rs
6 use numbers of pairs of measurements to find critical value
7 compare rs to critical value

How well did you know this?
1
Not at all
2
3
4
5
Perfectly
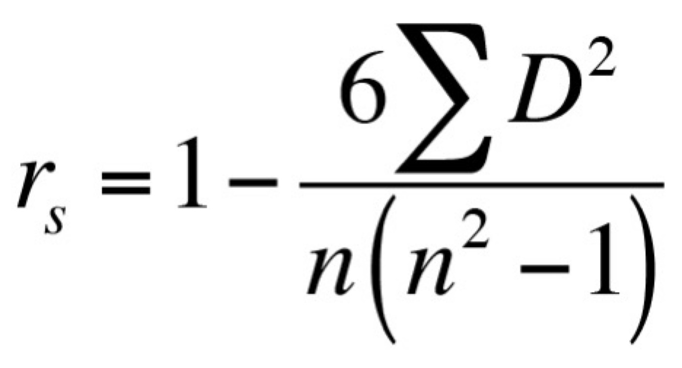
5
Q

formula for spearman’s rank
(rs value)

A
How well did you know this?
1
Not at all
2
3
4
5
Perfectly
6
Q

rs smaller than critical value

A

accept null hypothesis

How well did you know this?
1
Not at all
2
3
4
5
Perfectly
7
Q

rs greater than critical value

A

reject null hypothesis
less than 5% probability that correlation is due to chance

How well did you know this?
1
Not at all
2
3
4
5
Perfectly
8
Q

what is important to remember about critical value for spearman’s rank

A

could be negative or positive depending on correlation of data

How well did you know this?
1
Not at all
2
3
4
5
Perfectly
9
Q

what is the null hypothesis for chi-squared test

A

no difference between observed and expected frequencies

How well did you know this?
1
Not at all
2
3
4
5
Perfectly
10
Q

how to calculate expected frequency

A

total of observed frequencies / number of categories

How well did you know this?
1
Not at all
2
3
4
5
Perfectly
11
Q

formula for chi-squared
(X2 value)

A
How well did you know this?
1
Not at all
2
3
4
5
Perfectly
12
Q

how to calculate chi-squared

A

categories
observed frequencies
expected frequencies
O-E for each category
(O-E)2 for each category
calculate X2
degrees of freedom
find critical value
compare X2 to critical value

How well did you know this?
1
Not at all
2
3
4
5
Perfectly
13
Q

how to calculate degrees of freedom for chi-squared

A

number of categories - 1

How well did you know this?
1
Not at all
2
3
4
5
Perfectly
14
Q

x2 smaller than critical value

A

accept null hypothesis

How well did you know this?
1
Not at all
2
3
4
5
Perfectly
15
Q

x2 greater than critical value

A

reject null hypothesis
less than a 5% probability that difference us due to chance

16
Q

what is the null hypothesis for student’s t test

A

no significant difference between the …. of …. and ….

17
Q

how to calculate degrees of freedom for student’s t test

A

(number of measurements in first sample + number of measurements in second sample) - 2

18
Q

formula for student’s t test

19
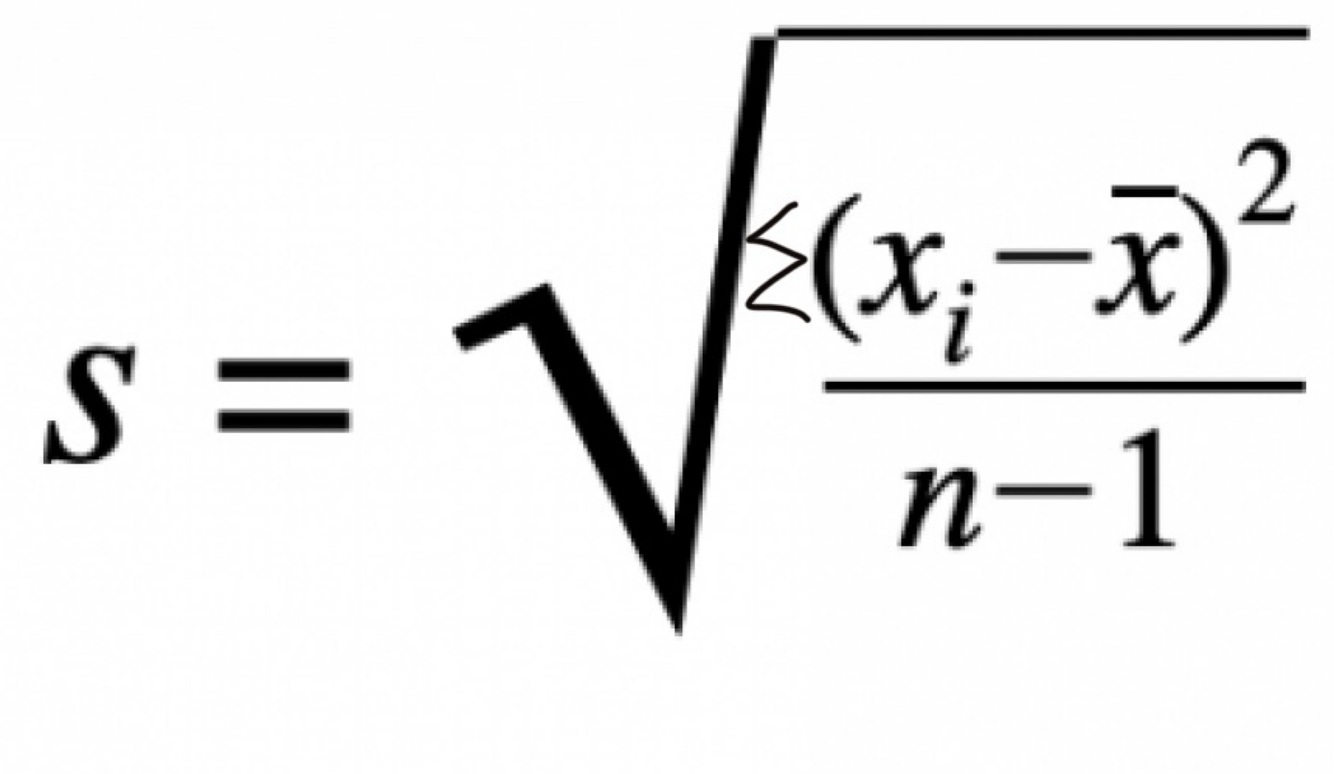
Q

formula for standard deviation

A

n = number of measurements
x = mean
xi = data value

20
Q

how to calculate students’s t test

A

1 calculate t value
2 degrees of freedom
3 find critical value
4 compare t value to critical value

21
Q

t value smaller than critical value

A

accept null hypothesis

22
Q

t value greater than critical value

A

reject null hypothesis
less than a 5% probability that difference is due to chance