Statistics: Chapter 6 - Statistical Distributions Flashcards

(11 cards)

1
Q

What is a random variable?

A

Values that are outcomes (e.g. X, Y, Z).

How well did you know this?
1
Not at all
2
3
4
5
Perfectly
2
Q

What types of random variables are there?

A

-Discrete (finite number of variables).
-Continuous (infinite number of variables).

How well did you know this?
1
Not at all
2
3
4
5
Perfectly
3
Q

What are the ways in which probability distribution can be shown?

A

-Table.
-Probability mass function.

How well did you know this?
1
Not at all
2
3
4
5
Perfectly
4
Q

Example of a table (probability distribution):

A
How well did you know this?
1
Not at all
2
3
4
5
Perfectly
5
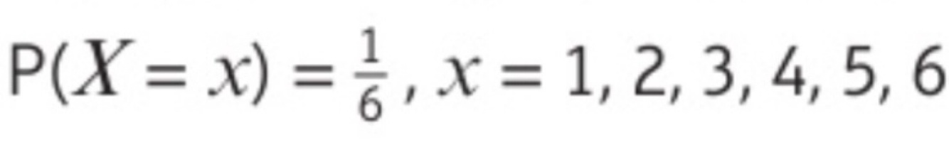
Q

Example of a probability mass function (probability distribution):

A
How well did you know this?
1
Not at all
2
3
4
5
Perfectly
6
Q

How would you calculate P (X = r) on the calculator?

A

Binomial PD.
Menu -> 7 -> 4 -> 2.

How well did you know this?
1
Not at all
2
3
4
5
Perfectly
7
Q

How would you calculate P (X ≤ r) on the calculator?

A

Binomial CD.
Menu -> 7 -> Down -> 1 -> 2.

How well did you know this?
1
Not at all
2
3
4
5
Perfectly
8
Q

P (X ≤ 5) =

A

P (X ≤ 5).

How well did you know this?
1
Not at all
2
3
4
5
Perfectly
9
Q

P (X < 5) =

A

P (X ≤ 4).

How well did you know this?
1
Not at all
2
3
4
5
Perfectly
10
Q

P (X ≥ 5) =

A

1 - P (X ≤ 4).

How well did you know this?
1
Not at all
2
3
4
5
Perfectly
11
Q

P (X > 5) =

A

1 - P (X ≤ 5).

How well did you know this?
1
Not at all
2
3
4
5
Perfectly