Charakteristiky centrální tendence?

Co je variační rozpětí?
R = Xmax - Xmin
Jak spočítám rozptyl?
Hodnota minus populační průměr.
Jak spočítám směrodatnou odchylku?
Odmocním rozptyl.

Co je to variační koeficient?
Bezrozměrná jednotka (někdy se převádí na procenta) a určuje jak je vzorek nesourodý na hodnotách [-0,5; 0,5]
Kdy použiji harmonický průměr?
Když průměruji procenta.
Kdy použiji vážený harmonický průměr?
Kdy průměruji procenta, která nepochází z rovnoměrných dat.
Jak je definována pravděpodobnost?
Jako [0-100]%. jedná se o pravdepodobnost výskytu náhodného jevu.
Co říká klasická teorie pravděpodobnosti?
Pravděpodobnost pokusu je vždy stejná.
Co říká statistická teorie pravděpodobnosti?
Že jev je závislý na příznivých a možných jevehc, tedy:
P(x) = počet příznivých jevů / počet všech možných jevů

Co znamená průnik jevů?
Když jevy nastanou současně.
Px (A ∩ B) = P(A) x P(B) = 0,7 x 0,55 = 0,385 = 35,5%

Co je sjednocení jevů?
Sloučení dvou jevů do jednoho.
Px (A ∪ B) = ( P(A) + P(B) ) - P (A ∩ B) = (0,7 + 0,55) - (0,7 x 0,55) = 1,25 - 0,385 = 0,865 = 86,5 %

Co je to normální veličina a jak se spočítá?
Odpovídá normální rozložení parametrů v populaci.
Jedna z klasických normální veličin je Z skór.
Co je konfidenční interval?
Přesnost, se kterou udáváme interval spolehlivosti.
95% klasicky p < 0,05
1 - α - chyba odhadu = 1 - 0,95 = 0,5% možné chyby
Co je to t test?
Součást inferenční statistiky. udává pravděpodobnost, že jevy A a b jsou rozdílné, tedy, že pochází z jiné populace. Porovnává rozptyly skupin.
t = rozptyl mezi skupinami / rozptyl skupin
Je třeba 20-30 vzorků do skupiny.
Jaké jsou typy t testů?

Jak vypadá výstup t testu?
Testosterol produkuje cholestrol t(99) = 0,33, p = 0,37, ale nebyl zjištěný signifikantní rozdíl (testosterol M = 34, kontrolní M = 36).
99 = df
t = hodnota t testu
p hodnota (kritická hodnota)
M - průměr
Co je to ANOVA?
Zjišťuje rozdíly mezi skupinami (dva a více skupin) porovnáváním průměrů.
SSW - suma čtverců skupin
SST - celková suma čtverců
SSB - suma čtvrců mezi skupinami
SSB / df = 101,667
SSW / df = 54 / 14 = 4,5
F = ( SSB / df ) / ( SSW / df ) = 22,59 > kritická hodnota 3,39
Zápis:
F(2,12) = 22,59, p < 0,05
2 = df ( n - 1)
12 = df celkem - skupin ( n - sk)
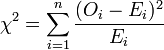
Jak spočítám X2 chi-kvadrát?
Naměřené minus očekávané na druhou děleno očekáváné
df = n - 1
Jak přesáhne kritickou mez - zamítám H0

Co je matematická regrese?
Když spolu dvě proměnné korelují a můžeme z jedné proměnné odhadovat druhou proměnnou.

Typy matematických regresí.

jaké uvádět statistiky centrální tendence?
Jak převedu Z skór na hrubý skór?
Musím znát hodnotu směrodatné odhcylky a průměru.
m = 100; s = 15
Spočítejte pro osobu Z = -3 IQ.
X = Z x s + m = -3 x 15 + 100 = 55
Co je to centrální limitní teorém?
Pro každou populaci o průměru μ a směrodatné odchylce σ se bude rozdělení výběrových průměrů výběru (pro rozsah výběru jdoucí do nekonečna) blížit normálnímu rozložení s průměrem m a směrodatnou odchylkou σx = σ√n.