Stats Flashcards

(25 cards)

1
Q

Pmf

A

Probability mass function

How well did you know this?
1
Not at all
2
3
4
5
Perfectly
2
Q

Probability mass function

A

a function that gives the probability that a discrete random variable is exactly equal to some value

Often expressed in piecewise form

How well did you know this?
1
Not at all
2
3
4
5
Perfectly
3
Q

Bernoulli distribution

A

the probability distribution of a random variable which takes the value 1 with probability p and the value 0 with probability q=1-p

How well did you know this?
1
Not at all
2
3
4
5
Perfectly
4
Q

Autoregressive

A

A statistical model is autoregressive if it predicts future values based on past values

How well did you know this?
1
Not at all
2
3
4
5
Perfectly
5
Q

Etymologically speaking what does autoregressive mean?

A

regression on self.

/(Autoregression is just predicting a future outcome of a sequence from the previously observed outcomes of that sequence)

How well did you know this?
1
Not at all
2
3
4
5
Perfectly
6
Q

Logit is the inverse of

A

The standard logistic function

How well did you know this?
1
Not at all
2
3
4
5
Perfectly
7
Q

Logit domain

A

(0,1)

How well did you know this?
1
Not at all
2
3
4
5
Perfectly
8
Q

Logit range

A

(-inf, +inf)

How well did you know this?
1
Not at all
2
3
4
5
Perfectly
9
Q

Logit is defined as

A

logit p = ln (p/(1-p)) for p in (0,1)

How well did you know this?
1
Not at all
2
3
4
5
Perfectly
10
Q

What is the formula for odds?

A

p/(1-p), where p is the probability that a particular outcome occurs, and 1 - p is the probability that outcome does not occur

How well did you know this?
1
Not at all
2
3
4
5
Perfectly
11
Q

Logit is also called what?

A

Log odds

How well did you know this?
1
Not at all
2
3
4
5
Perfectly
12
Q

Why is logit called log odds?

A

Because it is defined as the log of odds. Ln (p/(1-p)) for p in (0,1)

How well did you know this?
1
Not at all
2
3
4
5
Perfectly
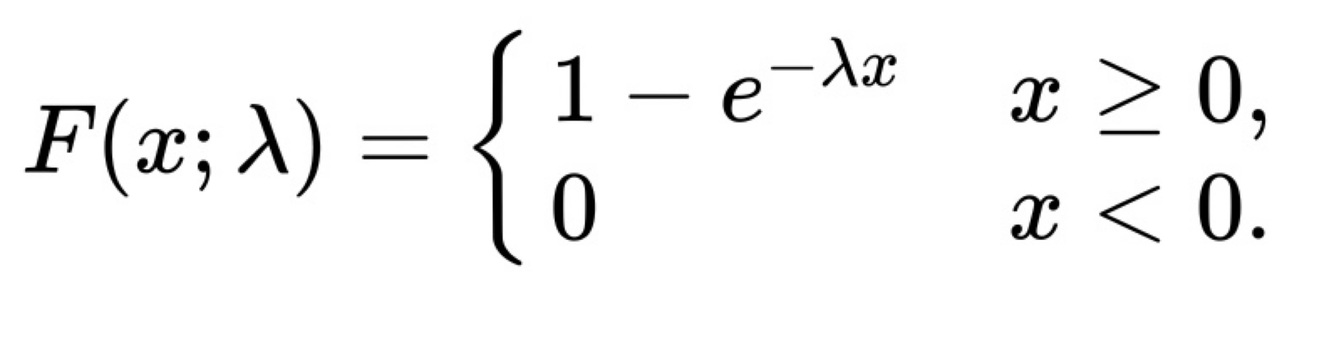
13
Q

What is the cumulative distribution function of Exponential(λ)

A
How well did you know this?
1
Not at all
2
3
4
5
Perfectly
14
Q

Quantile function is aka

A

The percentile function

How well did you know this?
1
Not at all
2
3
4
5
Perfectly
15
Q

What is the quantile function of the normal distribution?

A

Probit

How well did you know this?
1
Not at all
2
3
4
5
Perfectly
16
Q

Probit is the inverse of what?

A

The cumulative distribution function of the normal distribution

17
Q

What is the difference between a pdf and a cumulative distribution function?

A

a Pdf f of a random variable X yields the “relative likelihood” f(x) that the random variable would yield x. A cdf f of a random variable X yields the probability f(x) that X would yield a value <= x

18
Q

Difference between pdf and pmf?

A

Pmf is for discrete variables

Pdf is for continuous variables

19
Q

Pdf stands for

A

Probability density function

20
Q

Pmf stands for

A

Probability mass function

21
Q

Z score

A

how many standard deviations a value is from the mean

22
Q

Multiple logistic regression

A

Logistic regression, except you have multiple possible outcomes instead of one

23
Q

Difference between sigmoid and logistic function?

A

Sigmoid is just one instance of the logistic function, where L = 1, k = 1, x0 = 0

24
Q

Standard logistic function formula

25
Explanation of each variable in logistic function