How would you show that a statement is constant with f(x) being a PDF?
Integrate between the range and it will be 1 Negative probabilities won’t occur
How do you find the mean of a continuous random variable from the PDF?
∫xf(x) between the given limits. This is expectation of x
How do you find the variance of a continuous random variable from the PDF?
∫x²f(x) between the limits Subtract E(x)² Var(X)= E(X²)-E(X)² State this explicitly.
If you found the mean and variance of a random variable X, what would the mean and variance of Y be of Y=4X-1
Multiply the mean by 4 and subtract 1 Multiply variance by 4²
How do you find the probability of a random variable being between two limits when given a PDF
Integrate between the two limits.
What is a uniform distribution? How is mean and variance found?
Looks rectangular when drawn Mean is (a+b)/2 Variance = (1/12)(b-a)²
How would you find E(x²)
Multiply the PDF by x² and integrate between range
What is the significance level?
The significance level, also denoted as alpha or α, is the probability of rejecting the null hypothesis when it is true. For example, a significance level of 0.05 indicates a 5% risk of concluding that a difference exists when there is no actual difference
If the mean duration of an event can be normally distributed with ( μ,σ^2), what distribution would give the mean time for three events to occur?
It would be Normally distributed and the mean would be the same. Variance of total time is 3σ^2, but when you have to divide by 9 to get the variance for the mean. You divide by 9 and not 3 as 9=3^2 and you have to square constants when multiplying by a variance.
How is the variance of a large set of values found?
Find the total of x²f. Square the mean and multiply by the total of xf Minus the latter from the former. Divide this by n-1
What is a bi modal correlation?
One where there are 2 clusters of points.
What is an out liar?
2sd away from the mean or 1.5*IQR from the upper or lower quartile, not from the median.
is r1 and r2 are two random variables what is E(r1+r2)?

How do you find sample mean are varience?

what is P(Ck|x)
posterior probability
The probabilty of being from class Ck given data x
How do you find P(Ck|x)?

What are prior probabilities ?
Probabilites known before anything is measured or done
What is P(n,f) and how might you find it?
The joint probability of n and f happening
P(n,f)=P(n|f)*P*(F)
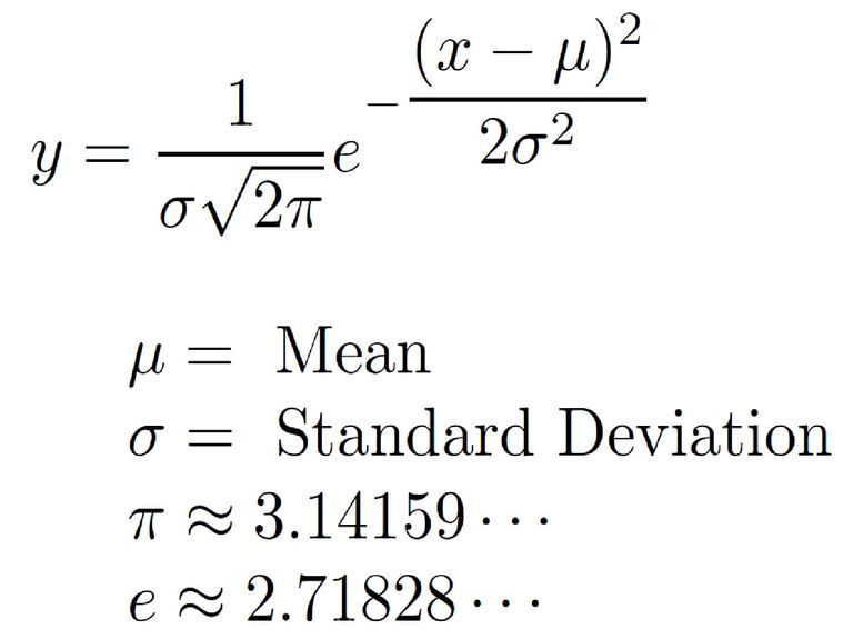
What is the formula for a gaussian distrbution?

What is the central limit theorem?

What is Bayes rule?
