Straight Line Flashcards

(27 cards)

1
Q

Lines with equal gradient are…

A

Parallel

How well did you know this?
1
Not at all
2
3
4
5
Perfectly
2
Q

What is the gradient of a horizontal line

A

m = 0

How well did you know this?
1
Not at all
2
3
4
5
Perfectly
3
Q

What is the gradient of a vertical line?

A

m is undefined

How well did you know this?
1
Not at all
2
3
4
5
Perfectly
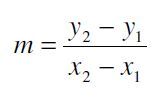
4
Q

What is the gradient formula?

A
How well did you know this?
1
Not at all
2
3
4
5
Perfectly
5
Q

A line with zero gradient is…

A

Horizontal (parallel to the x axis)

How well did you know this?
1
Not at all
2
3
4
5
Perfectly
6
Q

Parallel lines have…

A

Equal gradient

How well did you know this?
1
Not at all
2
3
4
5
Perfectly
7
Q

How do you find the equation of a straight line?

A
  1. Find the gradient
  2. Need to know a point on the line (a, b)
  3. Sub into y - b = m( x - a )
How well did you know this?
1
Not at all
2
3
4
5
Perfectly
8
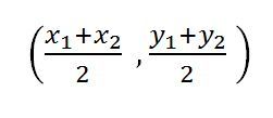
Q

How do you find the mid point of a line?

A
How well did you know this?
1
Not at all
2
3
4
5
Perfectly
9
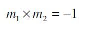
Q

What is the rule for perpendicular lines?

A
How well did you know this?
1
Not at all
2
3
4
5
Perfectly
10
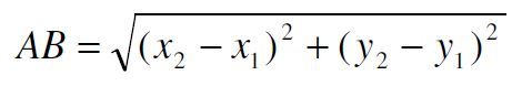
Q

What is the distance formula?

A
How well did you know this?
1
Not at all
2
3
4
5
Perfectly
11
Q

What is a median of a triangle?

A

Median is a line drawn from one vertex to the midpoint of the opposite side

How well did you know this?
1
Not at all
2
3
4
5
Perfectly
12
Q

What is an altitude of a triangle?

A

Altitude is a line through a vertex, perpendicular to the
opposite side.

How well did you know this?
1
Not at all
2
3
4
5
Perfectly
13
Q

What is a perpendicular bisector?

A

A line which bisects (cuts in half) a given line at right-angles

How well did you know this?
1
Not at all
2
3
4
5
Perfectly
14
Q

How do you find the equation of a median
through a point of a triangle?

A
  1. Draw a sketch
  2. Find the midpoint required
  3. Find the gradient from the vertex to the midpoint
  4. Use y – b = m( x – a )
How well did you know this?
1
Not at all
2
3
4
5
Perfectly
15
Q

How do you find the equation of an altitude of a triangle through side BC?

A
  1. Draw a sketch
  2. Find the gradient of BC
  3. Use m1 x m2 = -1 to find
    gradient of the altitude
  4. Use y – b = m (x – a)
How well did you know this?
1
Not at all
2
3
4
5
Perfectly
16
Q

How do you find the equation of a perpendicular bisector?

A
  1. Draw a sketch
  2. Find midpoint of AB
  3. Find gradient of AB
  4. Use m1 x m2 = -1 to find gradient of perpendicular bisector CD
  5. Use y – b = (m – a )
17
Q

How do you know if a point lies on a line or curve?

A

Substitute the x and y coordinates of the point into the equation of the line or curve. If the L side = R side, then the point does lie on the line.

18
Q

How do you know 3 lines are concurrent?

A

For three lines to be concurrent, they must all pass through a single point.
___________________________

Find where 2 lines intersect and sub x and y into 3rd. If Left = Right, then lines are concurrent

19
Q

How do you find the size of the angle between a line and the x-axis?

20
Q

How do you show that the points A, B and C are collinear?

A
  1. Show that mAB = mBC
  2. State that the two line segments AB and BC have a common point B
21
Q

What does it mean if three points are said to be collinear?

A

The lie on the same straight line and share a common point

22
Q

What is the equation of this line?

23
Q

What is the equation of this line?

24
Q

How to you find the gradient of a line in the general form Ax + By + C = 0

A

Rearrange into y = mx + c

25
How to you find the point where a line cuts the x axis?
Set y = 0
26
How do you find the point where a line cuts the y axis?
Set x = 0
27
How to you find the point where two lines intersect?
Use simultaneous equations