Structures Chimie_spécial 🙂‍↕️ ✅ Flashcards

qlq qsts sur les structures (28 cards)

1
Q

Comment se nomme ce cycle?
On le retrouve dans quelle mx/classe de mx?

A

Imidazole, dans la cimétidine, un anti-H2

How well did you know this?
1
Not at all
2
3
4
5
Perfectly
2
Q

Comment se nomme ce cycle?
On le retrouve dans quel mx/classe de mx?

A

furane, ranitidine, anti-H2

How well did you know this?
1
Not at all
2
3
4
5
Perfectly
3
Q

Comment se nomme ce cycle?
On le retrouve dans quel mx/classe de mx?

A

thiazole, famotidine et nizatidine, anti-H2

How well did you know this?
1
Not at all
2
3
4
5
Perfectly
4
Q

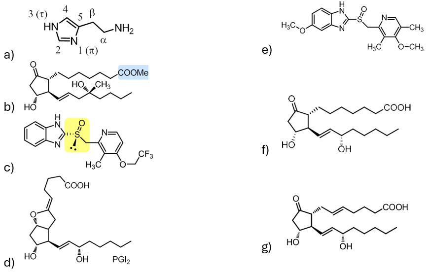
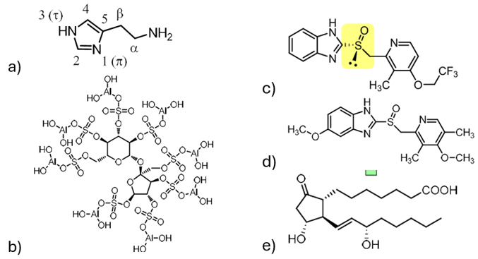
Quelle(s) molécule(s) est/sont:
- un IPP
- un anti-H2
- un agent protecteur de la muqueuse
- un acide alginique (antiacide)

A
  • B : omĂ©prazole
  • A : famotidine
  • D et G : les 2 sont le sucralfate
  • E : gaviscon

C : PGE2, F : PGI2

How well did you know this?
1
Not at all
2
3
4
5
Perfectly
5
Q

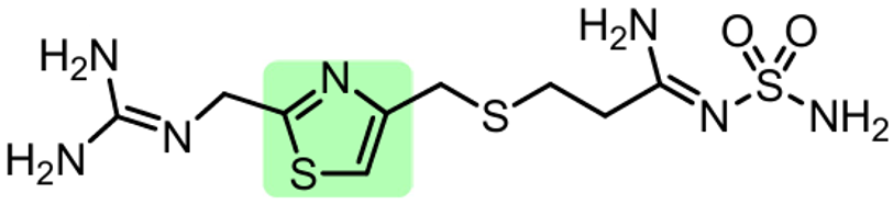
Quelle(s) molécule(s) peu(ven)t avoir des interactions chimiques avec les tétracyclines, les quinolones, et la digoxine?

A

E : gaviscon (antiacide)

B : oméprazole, A : famotidine, D et G : les 2 sont le sucralfate, C : PGE2, F : PGI2

How well did you know this?
1
Not at all
2
3
4
5
Perfectly
6
Q

Quelle(s) molécule(s) inhibe(nt) l’activité protéolytique de la pepsine?

A

B : Sucralfate

a) histamine, c) dexlansprazole, d) oméprazole, e) PGE1

How well did you know this?
1
Not at all
2
3
4
5
Perfectly
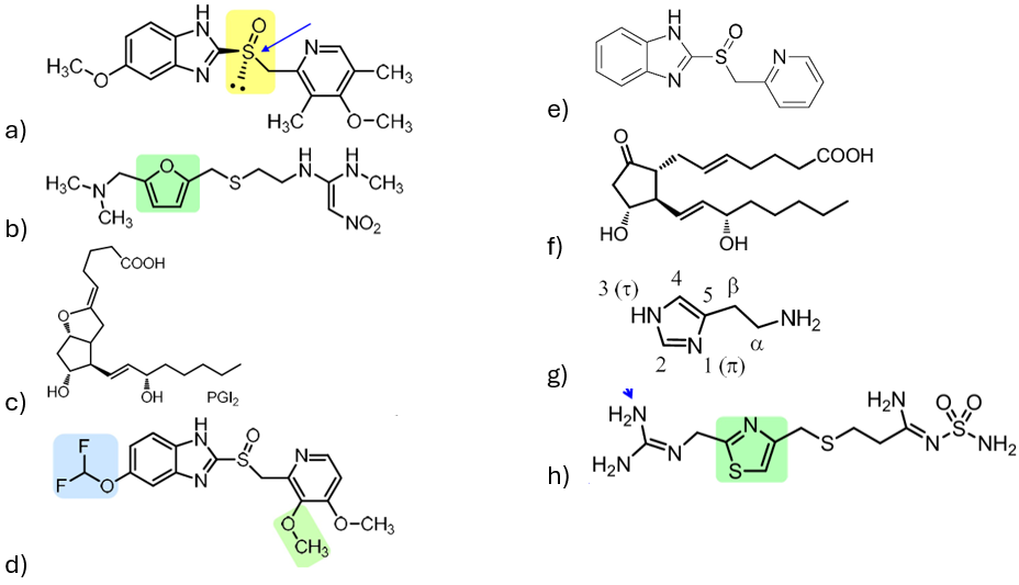
7
Q

Identifie la PGE1. Laquelle de ces molécules est un protecteur de la muqueuse qui a été générée à partir de la PGE1 (analogue synthétique)?

A
  • F : PGE1
  • B : Misoprostol = analogue de la PGE1

a) histamine, c) dexlansoprazole, d) PGI2, e) oméprazole, g) PGE2

How well did you know this?
1
Not at all
2
3
4
5
Perfectly
8
Q

Parmi les structures suivantes, quelle est la molĂ©cule qui a Ă©tĂ© gĂ©nĂ©rĂ©e Ă  partir de l’histamine et qui est la plus active?

A

H : Famotidine (Pepcid)

a) esoméprazole, b) ranitidine, c) PGI2, d) pantoprazole, e) timoprazole, f) PGE2, g) histamine

How well did you know this?
1
Not at all
2
3
4
5
Perfectly
9
Q

Qui suis-je?

A

Pantoprazole, IPP

How well did you know this?
1
Not at all
2
3
4
5
Perfectly
10
Q

Qui suis-je?

A

PGI2, prostacycline

How well did you know this?
1
Not at all
2
3
4
5
Perfectly
11
Q

Qui suis-je?

A

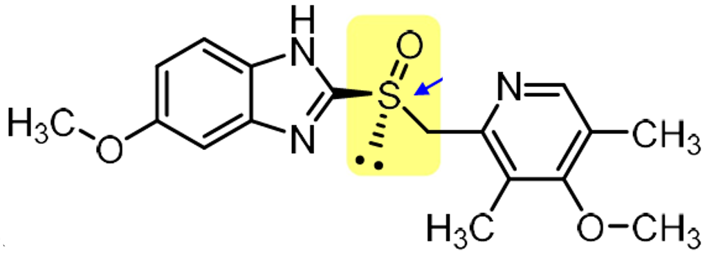
ÉsomĂ©prazole, enantiomère S de l’omĂ©prazole, IPP

le doublet S‘en fuit, S‘en va en arrière

How well did you know this?
1
Not at all
2
3
4
5
Perfectly
12
Q

Qui suis-je?

A

Dexlansoprazole, enantiomère R du lansoprazole, IPP

le doublet Ressort

How well did you know this?
1
Not at all
2
3
4
5
Perfectly
13
Q

Qui suis-je?

A

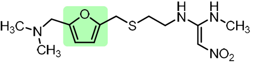
Histamine

si tu l’as pas eu, shame on you.. tu devrais la reconnaitre by now

How well did you know this?
1
Not at all
2
3
4
5
Perfectly
14
Q

Qui suis-je?

A

Misoprostol, protecteur de la muqueuse

How well did you know this?
1
Not at all
2
3
4
5
Perfectly
15
Q

Qui suis-je?

A

Sucralfate, protecteur de la muqueuse

How well did you know this?
1
Not at all
2
3
4
5
Perfectly
16
Q

Qui suis-je?

A

Sucralfate, protecteur de la muqueuse

17
Q

Qui suis-je?

A

Oméprazole, IPP

18
Q

Qui suis-je?

A

Lansoprazole, IPP

19
Q

Qui suis-je?

A

Rabéprazole, IPP

20
Q

Qui suis-je?

A

Timoprazole, premier IPP découvert

21
Q

Qui suis-je?

A

Cimétidine, cycle imidazole, anti-H2

22
Q

Qui suis-je?

A

Ranitidine, same structure as nizatidine mais cycle furane, 6x plus active que cimétidine, anti-H2

23
Q

Qui suis-je?

A

Nizatidine, same structure as ranitidine mais cycle thiazole, 10x plus active que cimétidine, anti-H2

24
Q

Qui suis-je?

A

Famotidine, cycle thiazole, 32x plus active que cimétidine, anti-H2

25
Qui suis-je?
Structure générale des anti-H2 (tidine)
26
Qui suis-je?
PGE2
27
Qui suis-je?
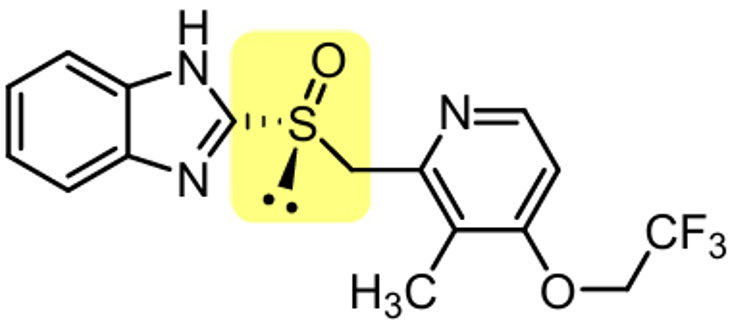
Structure générale des IPP (prazole)
28
Qui suis-je?
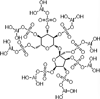
Gaviscon, acide alginique, antiacide