what must be true when you are multiplying matrices?
The number of columns is equal to the number of rows
What does the determinent represent?
The ratio of the change of area when a matrix is multiplied by a shape.
If matrix A provides the transformation B and matrix Y has the transformation Z, what matrix would transform by B and then Z?
Matrix Y* matrix A
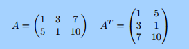
What is the transpose of a matrix?
Shown by Mt

Which way are elements numbered in a matrix?

A 6x5 matrix is what size?
6 rows and 5 columns
If you have two vectors defining a quadrilateral, how do you find the area?
Cross product the two together and find magnitude
Can be used to find the area of triangles by then dividing by two.
How might you find the cross product of two vectors?
Produce a matrix with i,j and k going down the side, and the vectors in centre and right. Find the determinant
How do you find the moment of a force?
position X force
How can you add matrices of different sizes?
add 0s to make up space.
When doing row operations on a matrix, what should a11 be?
Swap rows to ensure it isn’t 0
Life is made easier if it =1
When performing row operations, what is the aim?
Ensure the bottom row has two coefficients =0
What can you do with row operations?
Change the order of coefficients in a row.
Create new rows by adding them together in combinations
When do you use seperation of variables?
dy/dx=f(x)
∫dy=∫f(x) dx
How do you use an intergrating factor?
The question will ask for a general solution.
The equation is of the form dy/dx+P(x)y=Q(x)
ln(I)=∫P(x) dx
Multiply the whole equation by I
Integrate both sides. The left hand side should become Iy. Complete the intergration on the right hand side and re-arrange accordiningly.
Should have a C in the final answer unless you are given a point it goes through
What is the general form of a second order Homogeneous ODE?
For it to be homogeneous, f(x)=0

How do you find the characteristic equation of a SECOND ORDER HOMOGENEOUS ODE ?

If the two roots of a characteristic equation of an ODE are real and distict, what does it mean?
y(x)=Aer1x+Ber2x
r1 and r2 are the roots of the equation and A and B are constants that are subject to the boundary conditions.
If the two roots of a characteristic equation of an ODE are real and the same, what is y(x)
y(x)=Aerx+Bxerx
Where r is the root and A&B are constants subject to the boundary conditions
If the two roots of a characteristic equation for ODE are complex, what is y(x)?
The roots will be of the form p±qi
y(x) = epx(Acos(qx) + Bsin(qx))
Where A and B are constants subject to the boundary conditions.
What is an Inhomogeneous Second Order ODE ?

What are the two steps needed to solve an Inhomogeneous Second Order ODE ?
Look at the left hand side, find the characteristic equation and solve as normal to get yc(x)
Look at the right hand side and chose a particular integral. Substitue it with its derivitives into the orginal equation to find constants. This gives yp(x).
Add yc(x) and yp(x)
What are the particular integrals for the following functions?


How do you use euler’s method?
Have four columns x, y dy/dx and yn
