Substansklass Flashcards

(24 cards)

1
Q
A

Alkan

How well did you know this?
1
Not at all
2
3
4
5
Perfectly
2
Q
A

Alken

How well did you know this?
1
Not at all
2
3
4
5
Perfectly
3
Q
A

Alkyn

How well did you know this?
1
Not at all
2
3
4
5
Perfectly
4
Q
A

Eter

How well did you know this?
1
Not at all
2
3
4
5
Perfectly
5
Q
A

Amid

How well did you know this?
1
Not at all
2
3
4
5
Perfectly
6
Q
A

Nitroförening

How well did you know this?
1
Not at all
2
3
4
5
Perfectly
7
Q
A

Amin

How well did you know this?
1
Not at all
2
3
4
5
Perfectly
8
Q
A

Karboxylsyra

How well did you know this?
1
Not at all
2
3
4
5
Perfectly
9
Q
A

Alkohol

How well did you know this?
1
Not at all
2
3
4
5
Perfectly
10
Q
A

Persyra

How well did you know this?
1
Not at all
2
3
4
5
Perfectly
11
Q
A

Acetylen

How well did you know this?
1
Not at all
2
3
4
5
Perfectly
12
Q
A

Epoxid

How well did you know this?
1
Not at all
2
3
4
5
Perfectly
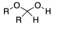
13
Q
A

Hemiacetal

How well did you know this?
1
Not at all
2
3
4
5
Perfectly
14
Q
A

Ester

How well did you know this?
1
Not at all
2
3
4
5
Perfectly
15
Q
A

Syraklorid

How well did you know this?
1
Not at all
2
3
4
5
Perfectly
17
Q
A

Merkaptan nitril

22
Q
23
Q