Sucres Flashcards

(73 cards)

1
Q

Quels sont les différents rôles du sucre?

A

Source d’énergies, réserves d’énergies, aident aux interactions moléculaires, constituants de l’ADN et des éléments structuraux importants

How well did you know this?
1
Not at all
2
3
4
5
Perfectly
2
Q

Les glucides forment des complexes avec quoi, donnant quoi?

A

Les protéines et les lipides => glycoprotéines, glycolipides

How well did you know this?
1
Not at all
2
3
4
5
Perfectly
3
Q

Les sucres sont sous combien de formes dans l’ADN? Les nommer

A

2 formes :
- Ribose
- Désoxyribose

How well did you know this?
1
Not at all
2
3
4
5
Perfectly
4
Q

Ribose ou désoxyribose?

A

Ribose

How well did you know this?
1
Not at all
2
3
4
5
Perfectly
5
Q

Ribose ou désoxyribose?

A

Désoxyribose

How well did you know this?
1
Not at all
2
3
4
5
Perfectly
6
Q

Les sucres sont-ils impliqués dans des maladies importantes. En nommer quelques unes

A

Oui : diabète sucré, maladie de stockage du glycogène, intolérance au lactose, …

How well did you know this?
1
Not at all
2
3
4
5
Perfectly
7
Q

Quelle est l’unité de base des sucres

A

Le monosaccharide (1 molécule de sucre)

How well did you know this?
1
Not at all
2
3
4
5
Perfectly
8
Q

Que sont les monosaccharides?

A

Des composés carbonnés riches en groupements OH (CH2O)n, donc des polyalcools

How well did you know this?
1
Not at all
2
3
4
5
Perfectly
9
Q

Les monosaccharides ont-ils un caractère polaire ou apolaire ?

A

Polaire, ce qui leur permet d’interagir avec des molécules d’eau

How well did you know this?
1
Not at all
2
3
4
5
Perfectly
10
Q

Quelle est l’unité de base des monosaccharides ?

A

Glycéraldéhyde => plus petit que des sucres

How well did you know this?
1
Not at all
2
3
4
5
Perfectly
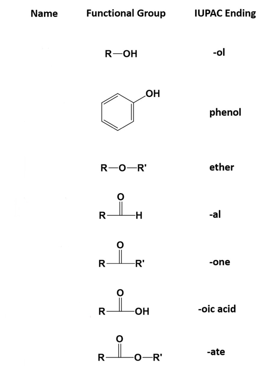
11
Q

Nommer les noms

A
  • Alcool
  • Phenol
  • Éthers
  • Aldéhydes
  • Cétones
  • Acide carboxylique
  • Esters
How well did you know this?
1
Not at all
2
3
4
5
Perfectly
12
Q

Représenter les groupes fonctionnels

A
How well did you know this?
1
Not at all
2
3
4
5
Perfectly
13
Q

Nommer les fins de mots

A
How well did you know this?
1
Not at all
2
3
4
5
Perfectly
14
Q

Que doit faire un polyalcool afin de devenir un sucre et non pas un simple alcool?

A

Acquérir un groupe fonctionnel carbonyle, qui est soit un aldéhyde soit un cétone

How well did you know this?
1
Not at all
2
3
4
5
Perfectly
15
Q

Comment savoir si le groupe carbonyle est une aldéhyde ou une cétone?

A

Si le groupe carbonyle (C=O) est terminal, alors c’est une aldéhyde, sinon c’est une cétone

How well did you know this?
1
Not at all
2
3
4
5
Perfectly
16
Q

Ce groupe carbonyle est un aldéhyde ou un cétone?

A

Aldéhyde avec R étant n’importe quoi (peut être une chaîne par ex)

How well did you know this?
1
Not at all
2
3
4
5
Perfectly
17
Q

Ce groupe carbonyle est un aldéhyde ou un cétone?

A

Cétone avec R étant n’importe quoi (peut être une chaîne par ex)

How well did you know this?
1
Not at all
2
3
4
5
Perfectly
18
Q

Par exemple, pour que le glycérol deviennent une glycéraldéhyde que doit-il rajouté?

A

Il est trop petit pour un cétone alors ce sera un aldéhyde

How well did you know this?
1
Not at all
2
3
4
5
Perfectly
19
Q

Représenter de trois manière différente un glycéraldéhyde

A
How well did you know this?
1
Not at all
2
3
4
5
Perfectly
20
Q

Comment se nomme le sucre résultant d’un ajout d’aldéhyde ou de cétone ?

A

Aldose ou cétose

How well did you know this?
1
Not at all
2
3
4
5
Perfectly
21
Q

Représenter l’aldose et la cétose

A
How well did you know this?
1
Not at all
2
3
4
5
Perfectly
22
Q

Qu’est-ce qu’un objet chiral ?

A

Un objet n’étant pas superposable avec son image miroir => on dit alors que les molécules sont énantiomères l’une pour l’autre

How well did you know this?
1
Not at all
2
3
4
5
Perfectly
23
Q

Qu’est-ce qu’un centre chiral (centre asymétrique)

A

Un carbone lié à 4 carbones ou groupes d’atome différents

How well did you know this?
1
Not at all
2
3
4
5
Perfectly
24
Q

Les sucres sont-ils des molécules chirales?

A

Oui, comme aussi des acides aminées

How well did you know this?
1
Not at all
2
3
4
5
Perfectly
25
Que sont des énantiomères
Cas particulier de stéréoisomères
26
Qu'est-ce qui permet de distinguer les énantiomères D- et L- ?
L'activité optique
27
La plupart des monosaccarides trouvés dans la nature sont en configuration D- ou L- ? Pourquoi?
Configuration D- car ils ne sont pas issus de la chimie mais de la biologie => faites par des enzymes
28
Qu'est-ce qui détermine si le sucre appartient à la série D- ou L-?
L'orientation des groupes -H et -OH attachés à l'atome contigu à l'atome de carbone terminal porteur d'une fonction alcool primaire
29
Cette représentation de Fisher du glucose est celle de -D ou -L ?
-L pcq groupement hydroxyle (-OH) est à gauche
30
Cette représentation de Fisher du glucose est celle de -D ou -L ?
-D pcq groupement hydroxyle (-OH) est à droite
31
Aucun autre carbone que C5 n'est un centre chiral. Vrai ou Faux?
FAUX, il y a d'autres carbones que C5 qui sont des centres chiraux
32
Comment appelle-t-on les isomères ayant un carbone chiral autre que C5?
Des épimères; dans ces cas-là, on appelle le sucre différemment
33
Nommer les aldoses effacées (trioses(3) à -hexoses (6))
34
Représenter les aldoses effacées (trioses(3) à -hexoses (6))
35
Nommer les cétoses effacées
36
Représenter les cétoses effacées
37
Comment nomme-t-on le ribose (aldose) sous forme de cétose?
Ribulose
38
Comment se nomme ce type de représentation?
Représentation de Fisher
39
Comment se nomme ce type de représentation?
Représentation de Haworth
40
Comment se nomme ce type de représentation?
Formes tridimensionnelles ("chaise" ou "bateau")
41
La représentation de Haworth permet de montrer la structure des sucres. Quelle est-elle? Est-elle plus stable ou moins stable?
Structure cylindrique. Plus stable
42
La cyclisation se fait entre quels carbones pour les aldoses?
C1 et C4 ou C5
43
La cyclisation se fait entre quels carbones pour les cétoses?
C1 et C5 ou C6
44
Une furanose est une cyclisation faite entre quels carbones pour les aldohéxoses et les cétohexoses?
Aldohexoses : C4 Cétohexoses : C5
45
Une pyranose est une cyclisation faite entre quels carbones pour les aldohéxoses et les cétohexoses?
Aldohexoses : C5 Cétohexoses : C6
46
Lors de la cyclisation C1 devient-il chiral ? Cela donne forme à quelle forme ? Comment se nomment ces formes?
Oui α et β Anomères
47
En projection Haworth, comment différencions-nous les anomères α et β?
Le groupe -OH pointe vers le bas chez l'anomère α (attaque a eu lieu par en haut) Le groupe -OH pointe vers le haut chez l'anomère β (l'attaque a eu lieu par en bas)
48
Est-ce une anomère α ou β?
α
49
Est-ce une anomère α ou β?
β
50
Quelles sont les deux conformations des pyranoses?
Bateau et chaise
51
Quelle conformation est la plus stable entre celle du bateau et celle de la chaise?
Celle de la chaise
52
Pour les cycles à 5 carbones, quelle forme est privilégiée ?
La forme envelope
53
Pour les cycles à 5 carbones (furanoses), quelles sont les deux conformations possibles?
Envelope et twisted (bateau croisé)
54
Qu'est-ce qu'une épimère ?
Contient un centre chiral, autre que C5
55
Par quoi passe les monosaccharides pour former des disaccharides?
La réactivité de nombreux groupes hydroxyl
56
Quel est le lien formé par la réactivité de nombreux groupes hydroxyl ?
Lien glycosidique
57
Quelle nomenclature suivent les disaccharides ?
1. En mettant le suffixe "yl" à la fin du nom complet du premier sucre 2. β-D-galactopyranose devient β-D-galactopyranosyl 3. En ajoutant le numéro des atomes de carbone impliqués dans la liaison glycosidiques (ex : 1-4) 4. Finalement on termine avec le nom complet du dernier sucre (ex: β-D-glucopyranose)
58
En théorie chaque groupe hydroxyl n'est pas réactif. Vrai ou Faux Qu'est-ce que cela signifie?
Faux. Les monosaccharides peuvent se lier en disaccharides par toutes les positions
59
Quels sont les liens les plus fréquents entre les Carbones (dire numéro des deux C qui se lient)
1->4 1->6
60
Qu'est-ce que sont des oligosaccharides?
Un petit nombre de saccharides liés entre eux ( de 2 à 10 max)
61
Les oligosaccharides donnent lieu à quoi. Les nommer
Des polymers : polysccharides (+ de 10 saccharides) comme de l'amidon ou du glycogène
62
Les polysaccharides sont-ils stables ? Quelle en est la conséquence?
Oui, ils sont assez stables. Ils se prêtent donc au stockage d'énergie (renfermé dans les monomers)
63
Les polysaccharides ont-ils seulement un rôle de stockage d'énergie? Nommer un autre rôle s'il y a lieu
Non, il a par exemple un rôle structural (comme par exemple du cellulose)
64
Nommer trois monosaccharides
Glucose Fructose Maltose
65
Nommer trois dysaccharides
Sucrose Lactose Maltose
66
Nommer deux oligosaccharides
Raffinose Stachyose
67
Nommer 3 polysaccharides
Amidon Cellulose Glycogène
68
Dans la cyclisation, quel carbone attaque quel carbone? Quelle conséquence ça a sur les anomères?
C5 attaque C1 OH se dirige soit en bas (β) soit en haut (α)
69
Dans la cyclisation, l'attaque nucléophile se produit à l'opposé de quel lien?
Du double-lien O=C (O prend un doublet et le donne à une molécule H3O+ qui devient de l'H2O en donnant son H à O) et C se lie au O de C5
70
Dessiner le mécanisme de cyclisation
71
La forme chaise la plus stable possède quel groupement en équatorial?
Groupement OH
72
Quel sucre présente que des hydrogènes en position axiale ?
Le D-Glucose
73
Quelle forme est la plus stable? Pourquoi? Y-a-t-il un constant équilibre entre ces formes ? Pourquoi?
Celle de gauche à cause de l'effet répulsif des gros substituants Oui, dû à la semi-rotation de la structure cyclique aux extrémités du cycle