Surds Flashcards

To simplify surds To multiply and divide surds To add and subtract surds To rationalise the denominator of surds (19 cards)

1
Q

Calculate. Give your answer in its simplest form

A

10

How well did you know this?
1
Not at all
2
3
4
5
Perfectly
2
Q

Calculate. Give your answer in its simplest form

A
How well did you know this?
1
Not at all
2
3
4
5
Perfectly
3
Q

Calculate. Give your answer in its simplest form.

A

24

How well did you know this?
1
Not at all
2
3
4
5
Perfectly
4
Q

Calculate. Give your answer in its simplest form.

A

3

How well did you know this?
1
Not at all
2
3
4
5
Perfectly
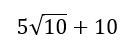
5
Q

Calculate. Give your answer in its simplest form.

A
How well did you know this?
1
Not at all
2
3
4
5
Perfectly
6
Q

Calculate. Give your answer in its simplest form.

A

6

How well did you know this?
1
Not at all
2
3
4
5
Perfectly
7
Q

Simplify

A
How well did you know this?
1
Not at all
2
3
4
5
Perfectly
8
Q

Simplify

A
How well did you know this?
1
Not at all
2
3
4
5
Perfectly
9
Q

Simplify

A
How well did you know this?
1
Not at all
2
3
4
5
Perfectly
10
Q

Calculate. Give your answer in its simplest form

A
How well did you know this?
1
Not at all
2
3
4
5
Perfectly
11
Q

Calculate. Give your answer in its simplest form.

A
How well did you know this?
1
Not at all
2
3
4
5
Perfectly
12
Q

Calculate. Give your answer in its simplest form

A
How well did you know this?
1
Not at all
2
3
4
5
Perfectly
13
Q

Calculate. Give your answer in its simplest form

A
How well did you know this?
1
Not at all
2
3
4
5
Perfectly
14
Q

Expand and simplify

A
How well did you know this?
1
Not at all
2
3
4
5
Perfectly
15
Q

Expand and simplify

A
How well did you know this?
1
Not at all
2
3
4
5
Perfectly
16
Q

Expand and simplify

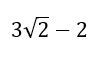
17
Q

Rationalise the denominator.

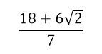
18
Q

Rationalise the denominator

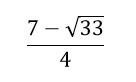
19
Q

Rationalise the denominator. Give your answer in its simplest form