t-test Flashcards

(50 cards)

1
Q

t-test

A
  • when we have 1 IV with 2 levels
  • estimates whether the population means under the 2 levels are different
  • estimates based on difference between the measured sample means
How well did you know this?
1
Not at all
2
3
4
5
Perfectly
2
Q

independent t-test

A

between participants / independent groups

How well did you know this?
1
Not at all
2
3
4
5
Perfectly
3
Q

paired t-test

A

within participants/ repeated measures

How well did you know this?
1
Not at all
2
3
4
5
Perfectly
4
Q

true experimental

A

random allocation

How well did you know this?
1
Not at all
2
3
4
5
Perfectly
5
Q

variance between IV levels

A

variance we assume is accounted for by manipulation of IV

How well did you know this?
1
Not at all
2
3
4
5
Perfectly
6
Q

variance within IV levels

A

difference between participants within the groups (levels)
- reflected by standard deviation

How well did you know this?
1
Not at all
2
3
4
5
Perfectly
7
Q

how does variance between IV levels arise

A
  • manipulation of IV
  • individual differences
  • experimental error
How well did you know this?
1
Not at all
2
3
4
5
Perfectly
8
Q

experimental error

A

random or constant

How well did you know this?
1
Not at all
2
3
4
5
Perfectly
9
Q

random error

A

chance fluctuation in measurement
e.g. hitting stop watch too early or late

How well did you know this?
1
Not at all
2
3
4
5
Perfectly
10
Q

constant error

A

confounds that influence measurement of DV between IV levels
- bias
e.g. giving one group practice and one group not

How well did you know this?
1
Not at all
2
3
4
5
Perfectly
11
Q

sources of variance within IV levels

A
  • individual differences
  • experimental error (random not including constant)
How well did you know this?
1
Not at all
2
3
4
5
Perfectly
12
Q

null hypothesis

A
  • no difference between the population means and sample means
  • H0: u1-u2=0
    or
    u1=u2
How well did you know this?
1
Not at all
2
3
4
5
Perfectly
13
Q

what does t-distribution represent

A
  • distribution of sampled mean differences when the null hypothesis is true
How well did you know this?
1
Not at all
2
3
4
5
Perfectly
14
Q

features of t-distributions

A
  • mean of 0
  • ## s.d. = s.e
How well did you know this?
1
Not at all
2
3
4
5
Perfectly
15
Q

s.e.

A

standard error
the extent to which an individual sampled mean difference deviates from 0

How well did you know this?
1
Not at all
2
3
4
5
Perfectly
16
Q

t-value

A

difference between sample means
reflected in standard error units

(don’t need to memorize formula)

How well did you know this?
1
Not at all
2
3
4
5
Perfectly
17
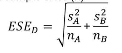
Q

ESEd

A

s=variance
n=sample size

How well did you know this?
1
Not at all
2
3
4
5
Perfectly
18
Q

t-value closer to 0

A

small variance between IV levels relative to within IV levels

How well did you know this?
1
Not at all
2
3
4
5
Perfectly
19
Q

t-value further from 0

A

larger between IV levels than within IV levels
- shows difference of manipulation of IV

How well did you know this?
1
Not at all
2
3
4
5
Perfectly
20
Q

in order to claim value of t is significant…

A

it must fall outside of the 95% bounds, in the 2.5% tails

How well did you know this?
1
Not at all
2
3
4
5
Perfectly
21
Q

if t > critical value

A

reject the null

22
Q

larger degrees of freedom

A

more reliable the estimate

23
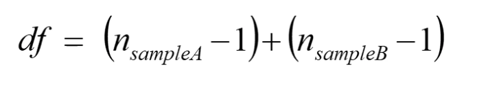
Q

d.f. fro 2 sample independent t-test

24
Q

what is t-distribution mediated by

A

degrees of freedom

25
assumptions of independent t-tests
- normality - homogeneity of variance - equivalent sample sizes - independence of observations
26
normality - independent
DV should be normally distributed, under each level of IV
27
homogeneity of variance
the variance in the DV, under each level of the IV, should be reasonably equivalent - check using Levene's test in SPSS
28
Levene's test
SPSS - we want a non-significant result - under H0: no difference between variances under each level of IV (homogeneity) - but it p<0.05 we reject null - heterogeneity - use row below is violated
29
independence of observtions
scores under each IV level should be independent
30
what do we do if we violate assumptions of independent t-test
Mann-Whitney U test
31
32
how to get a t-test result from SPSS output
33
paired t-test
- related/ dependent t-test - used for within-subjects/ repeated measures design
34
t calculation for paired
don't need to memorize
35
what contributes to variance for within-subjects design
- experimental error - manipulation of IV
36
assumptions of paired t-test
- normality - sample size roughly equal
37
normality - paired
- distribution of difference scores between IV levels should be aprox. normal - ok to assume if n>30
38
non-parametric equivalent of paired t-test
Wilcoxon T test - if assumptions are violated
39
paired t-test: SPSS output
40
degrees of freedom for paired t-test
df = ( n - 1)
41
effect size measure
Cohen's d
42
Cohen's d
the magnitude of difference between two IV level means, expressed in standard deviation units
43
Cohen's d formula
... ignore the sign (remove negative sign) - express to 2 d.p
44
interpreting Cohen's d effect size
e.g. bigger effect size, further apart population means, less overlap
45
t
magnitude of difference between two IV level means, expressed in ESE units
46
why t not Cohen's d
takes sample size into account
47
t-test design write up
- IV: levels, subjects design (between or within), steps taken to eliminate confounds (random allocation for IT or counterbalancing for paired) - DV: what was measured
48
t-test results write up: step 1: descriptive statistics in the table
in table put: - measure of central tendency as mean - measure of spread: standard deviation - interval estimates: 95% confidence interval around mean (upper and lower)
49
t-test results write up: step 2: results of inferential statistics
- Descriptive statistics are reported in table 1 - state test used (paired of independent t-test) and what it revealed e.g. an independent t-test revealed that dog owners told that their dog showed potentially were significantly quicker to complete the course than those owners told their dog had no potential, - state test statistic as t(df) = _.__, p = .__ - if needed (equal variances not assumed) - state if result was significant and direction of significance (which IV was higher) - mean difference and 95% CIs around mean difference - the effect size: Cohen's d (if significant report as small, medium large, if not significant report alongside t statistic after p value) - - e.g. the mean time difference was 87.80 seconds (95% CI [x,x], demonstrating a large effect size, d = X.
50
discussion
summary of findings with no statistical jargon e.g. no significant - provide direct answer to research question e.g. paired- we found evidence of an impact of alcohol consumption of students' performance on an arcade game. e.g. independent- dog owners advised their dog showed agillity potential achieved faster course completion than those advised their dog did not showe potential. Manipulatin the information given to the owners about their dog's agility potential appears to have influenced their later agility performance