When is a 1 Sample T Test used?
When the standard deviation of the population is unknown.
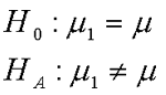
What is the general hypothesis for a t test?

The conditions for a 1 Sample T Test are:
SRS
Normality (As stated in the question or graph if you have data)
σ is unknown
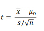
What is the formula for the test statistic of the 1 Sample T Test?

How do you determine the degrees of freedom for a 1 sample t test?
Sample Size -1 = Degrees of Freedom
What are the conditions for a 2 Sample T Test?
Each sample is an SRS
Normality (as stated in the question or graph the data)
Both samples are independent
σ is unknown
What is the formula for the test statistic of a 2 Sample T Test?

`