Ejes cartesianos o de coordenadas
Los ejes cartesianos o ejes de coordenadas son dos rectas perpendiculares graduadas, una horizontal y otra vertical, que dividen al plano en cuatro regiones o cuadrantes.
Coordenadas cartesianas
Las coordenadas cartesianas de un punto P del plano son un par ordenado de números que indican su posición respecto de los ejes. Se expresan como P(x, y).
Las coordenadas del origen O son (0, 0).
Las coordenadas también pueden ser números decimales. En este caso, se utiliza el punto y coma como separador, para evitar confusiones:
P(2,5; 3)
Correspondencia
Una correspondencia es cualquier relación que se quiera establecer entre los elementos de dos conjuntos. El conjunto de partida se llama conjunto inicial y el de llegada conjunto final.
Función
Una función es una correspondencia entre dos conjuntos tal que a cada elemento del conjunto inicial le corresponde un único valor del conjunto final.
Los elementos del conjunto inicial forman la variable independiente. Se representa con una letra: x, t, ….
Los elementos del conjunto final forman la variable dependiente o imagen. Se representa con la letra y o como f(x), f(t)…
Formas de representar la relación entre dos magnitudes
¿Cuándo podemos unir los puntos de una gráfica?
Solo se pueden unir los puntos representados si la función puede tomar los valores intermedios.
Dominio de una función
El dominio de una función f es el conjunto de valores que puede tomar la variable independiente. Se suele escribir como D(f).
Recorrido de una función
El recorrido de una función f es el conjunto de valores que puede tomar la variable dependiente. Se suele escribir como R(f).
Gráfica de una función
La gráfica de una función, es la representación en los ejes de coordenadas de los puntos de la forma (x, y), donde y = f(x).
Función continua
Una función es continua en su dominio cuando no presenta cortes ni saltos y se puede dibujar sin levantar el lápiz del papel.
Función discontinua
La función es discontinua cuando presenta saltos y no se puede dibujar sin levantar el lápiz del papel.
Los puntos en los que una función presenta saltos se llaman discontinuidades.
Puntos de corte con los ejes
Función creciente en un intervalo
Una función es creciente en un intervalo si al aumentar el valor de la variable independiente aumenta el valor de la variable dependiente.
Una función es decreciente en un intervalo
Una función es decreciente en un intervalo si al aumentar el valor de la variable independiente disminuye el valor de la variable dependiente.
Función constante en un intervalo
Una función es constante en un intervalo si al aumentar la variable independiente el valor de la variable dependiente toma siempre el mismo valor.
Máximo
Una función continua presenta un máximo en un punto si a la izquierda de ese punto la función crece y a la derecha decrece.
Mínimo
Una función continua presenta un mínimo en un punto si a la izquierda de ese punto la función decrece y a la derecha crece.
Máximo absoluto
Si una función tiene más de un máximo, llamamos máximo absoluto a aquel que tiene mayor ordenada y máximos relativos al resto.
Mínimo absoluto
Si una función tiene más de un mínimo, llamamos mínimo absoluto a aquel que tiene menor ordenada y mínimos relativos al resto.
Función lineal
Una función lineal es una función polinómica de la forma y = mx + n, donde m y n son números cualesquiera.
Gráfica de una función lineal
La gráfica de una función lineal es una línea recta.
Pendiente de una recta
La pendiente mide la inclinación de la recta. Dependiendo del signo de m, se pueden dar tres situaciones.
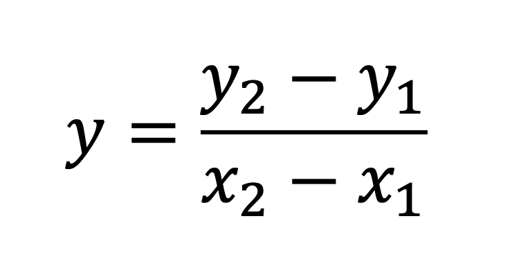
Pendiente de la recta que pasa por P y Q
Dados dos puntos P(x1,y1) y Q(x2, y2), se define la pendiente de la recta que pasa por P y Q como:

Función de proporcionalidad directa
Si la ordenada en el origen es nula, n = 0, la función es y = mx.